Subjects
Online Tutoring
Homework Help
Homework Library
Tutors
Online Classes
More
Bookstore
Blog
Technical Tips
FAQ
Contact Us
Get Help Now
Home
Homework Library
Mathematics
Algebra
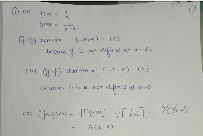
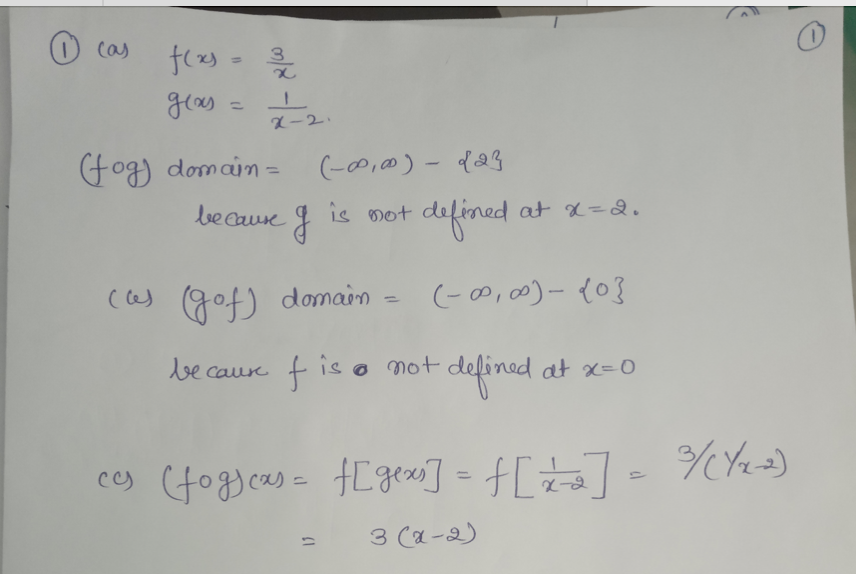
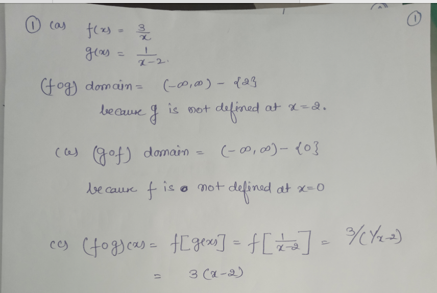
Directions: For the functions f(x) and g(x) given, analyze the doma...
Directions: For the functions f(x) and g(x) given, analyze the doma...