Subjects
Online Tutoring
Homework Help
Homework Library
Tutors
Online Classes
More
Bookstore
Blog
Technical Tips
FAQ
Contact Us
Get Help Now
Home
Homework Library
Mathematics
Algebra
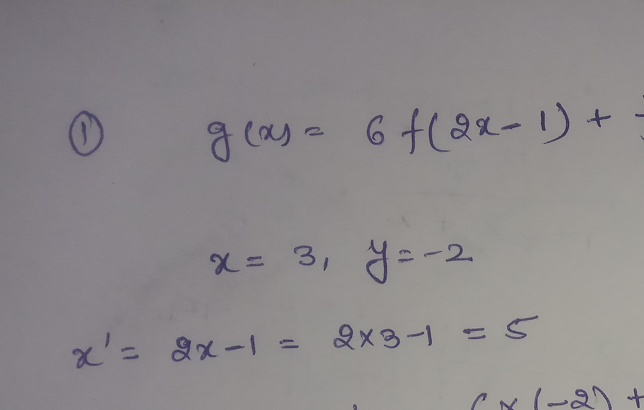
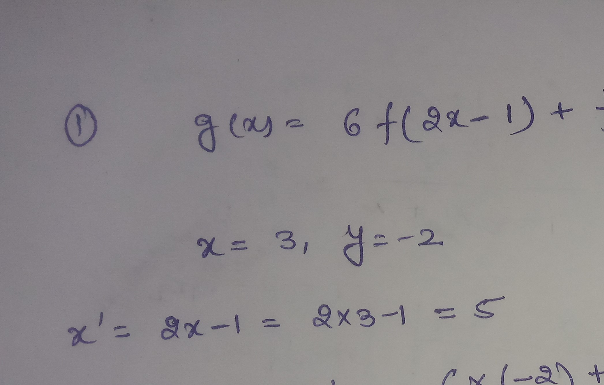
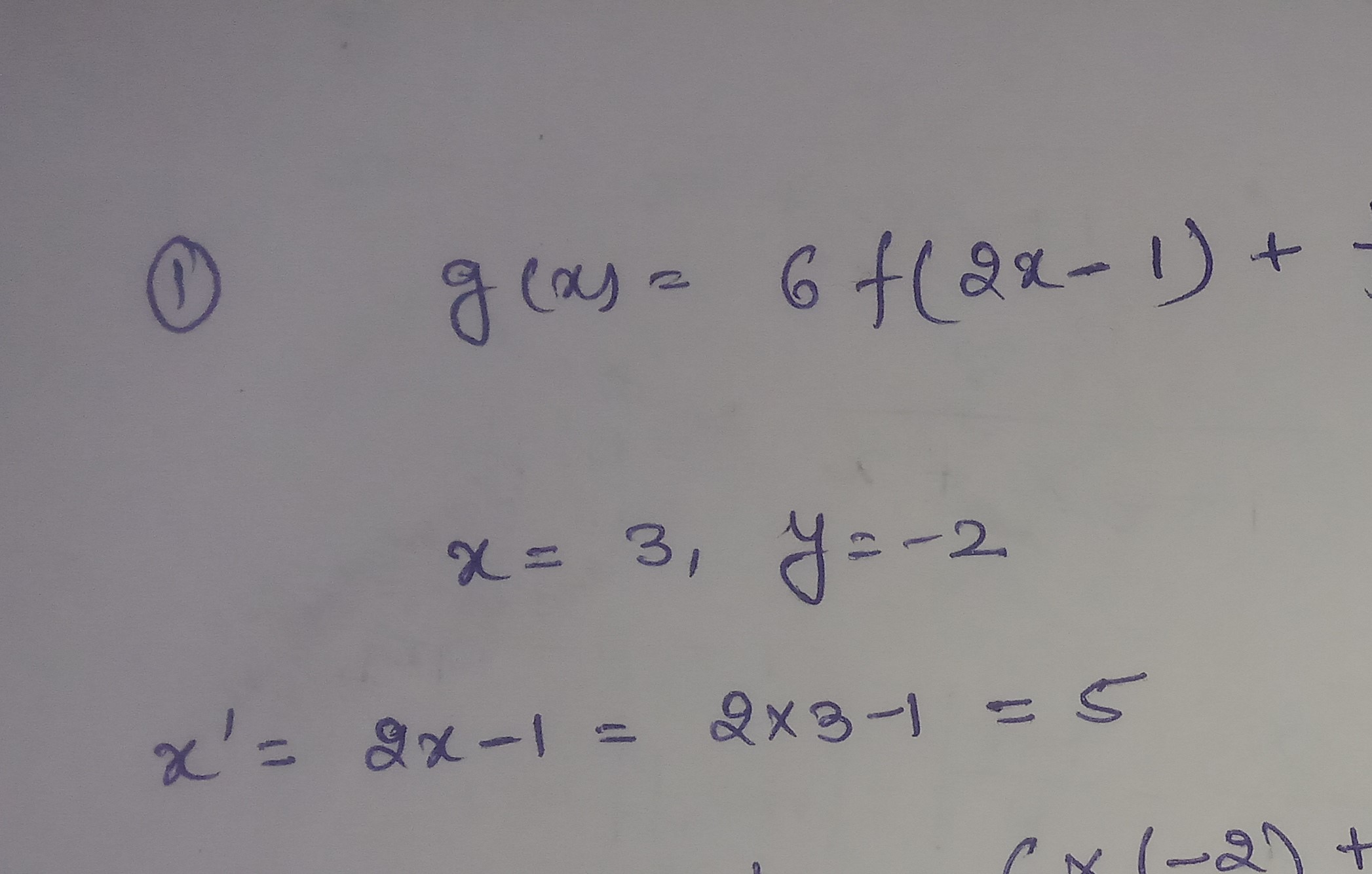
x ax+b Coxin Oc A 12) Theorem 1.7 requires functions to be of ...
x ax+b Coxin Oc A 12) Theorem 1.7 requires functions to be of...