Subjects
Online Tutoring
Homework Help
Homework Library
Tutors
More
Bookstore
Blog
Technical Tips
FAQ
Contact Us
Get Help Now
Home
Homework Library
Mathematics
Algebra
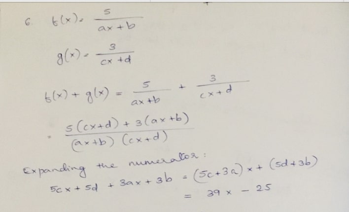
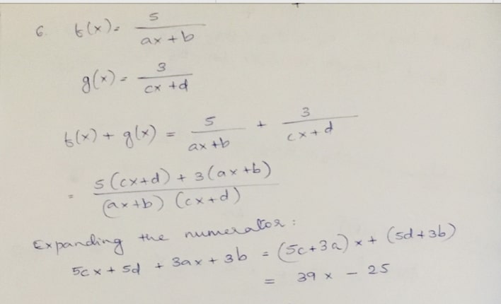
6. Suppose f(x) = and g(x)= = f(x) has a ax + b cx+d. If the sum...
6. Suppose f(x) = and g(x)= = f(x) has a ax + b cx+d. If the sum...