Subjects
Online Tutoring
Homework Help
Homework Library
Tutors
Online Classes
More
Bookstore
Blog
Technical Tips
FAQ
Contact Us
Get Help Now
Home
Homework Library
Mathematics
Algebra
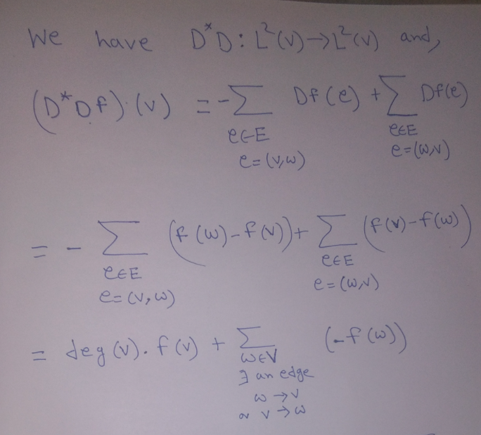
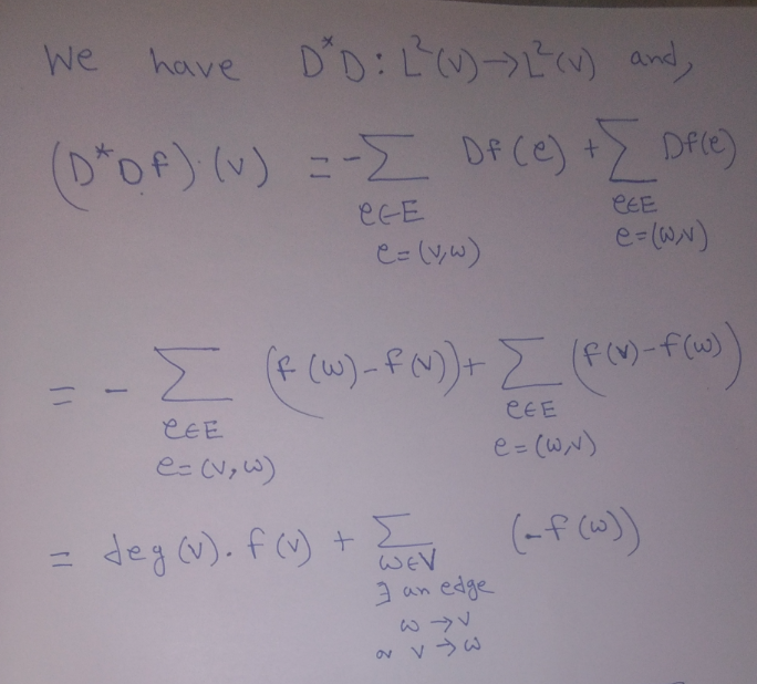
4. Let G be an ordered graph, i.e., a pair (V,E) where V is a finit...
4. Let G be an ordered graph, i.e., a pair (V,E) where V is a finit...