Subjects
Online Tutoring
Homework Help
Homework Library
Tutors
Online Classes
More
Bookstore
Blog
Technical Tips
FAQ
Contact Us
Get Help Now
Home
Homework Library
Mathematics
Algebra
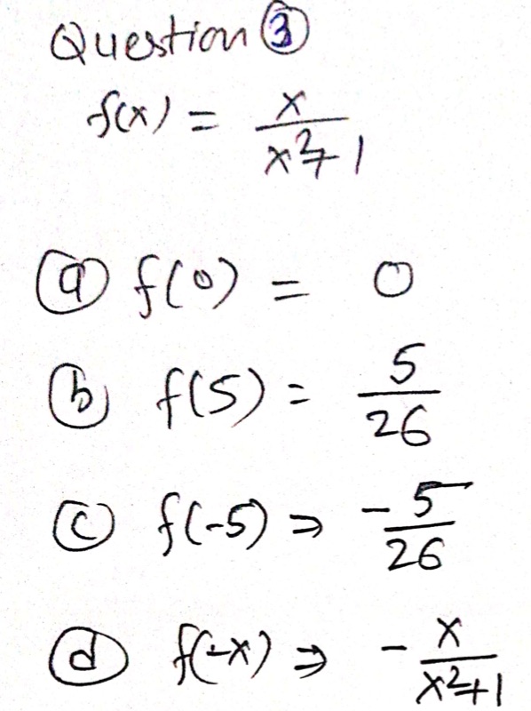
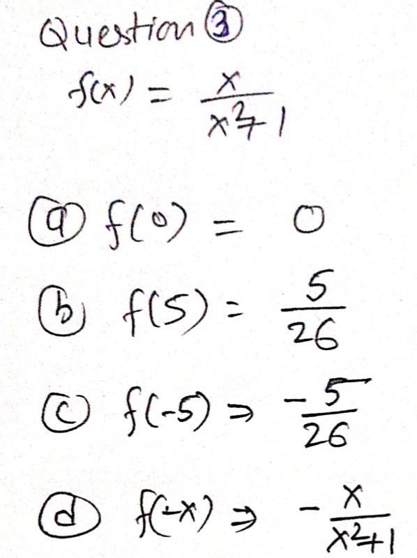
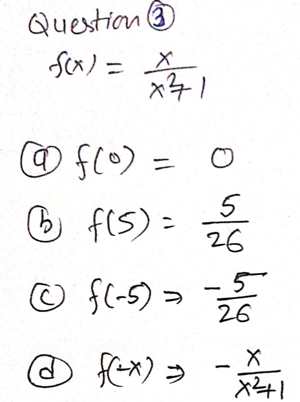
x Find the following for the function f(x) = 2 x1+1 (a) f(0) (...
x Find the following for the function f(x) = 2 x1+1 (a) f(0) (...