Subjects
Online Tutoring
Homework Help
Homework Library
Tutors
Online Classes
More
Bookstore
Blog
Technical Tips
FAQ
Contact Us
Get Help Now
Home
Homework Library
Mathematics
Basic Math
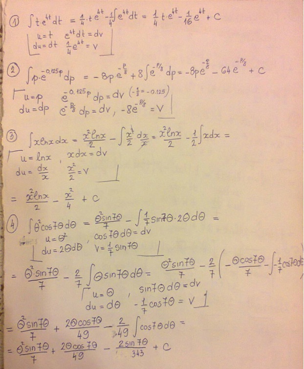
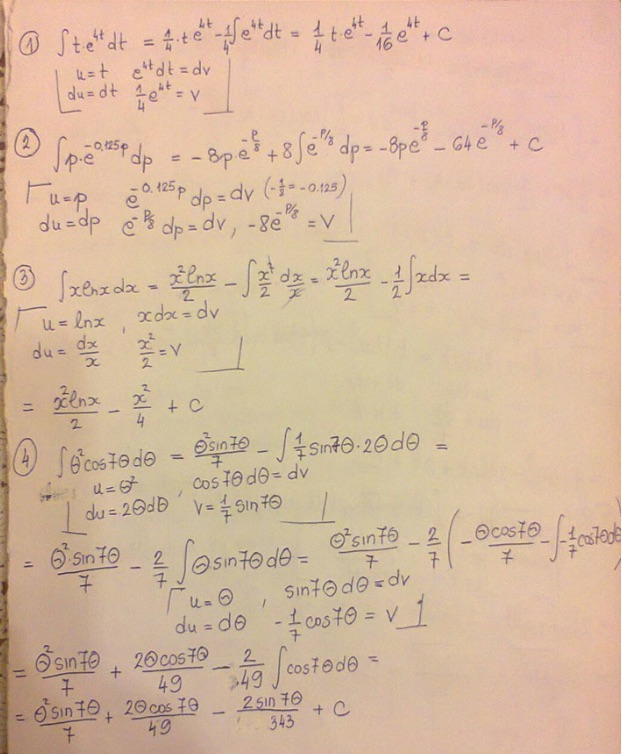
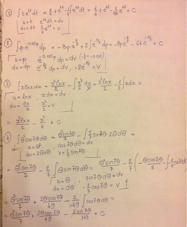
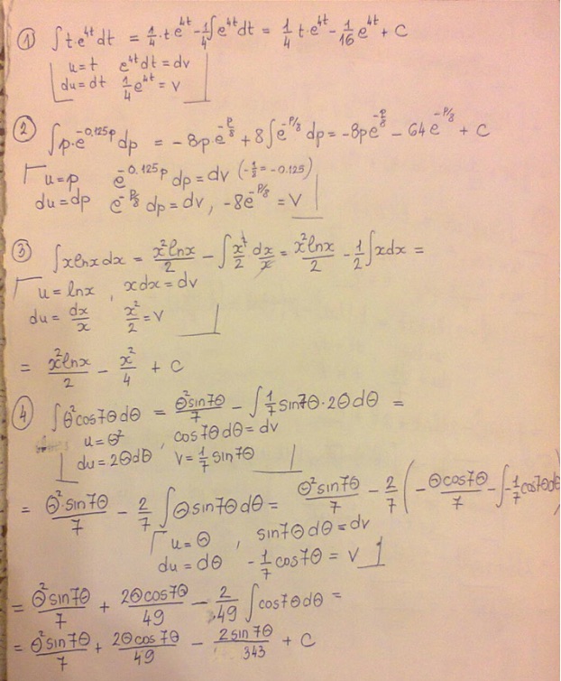
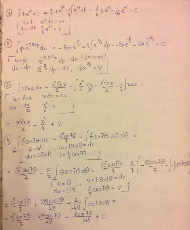
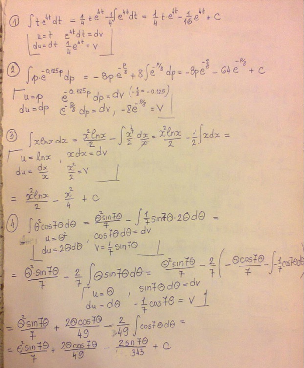
1. -/1 pointsHHCalc6 7.2.005. Find the integral. / te4t dt + C ...
1. -/1 pointsHHCalc6 7.2.005. Find the integral. / te4t dt + C...