Subjects
Online Tutoring
Homework Help
Homework Library
Tutors
Online Classes
More
Bookstore
Blog
Technical Tips
FAQ
Contact Us
Get Help Now
Home
Homework Library
Mathematics
Basic Math
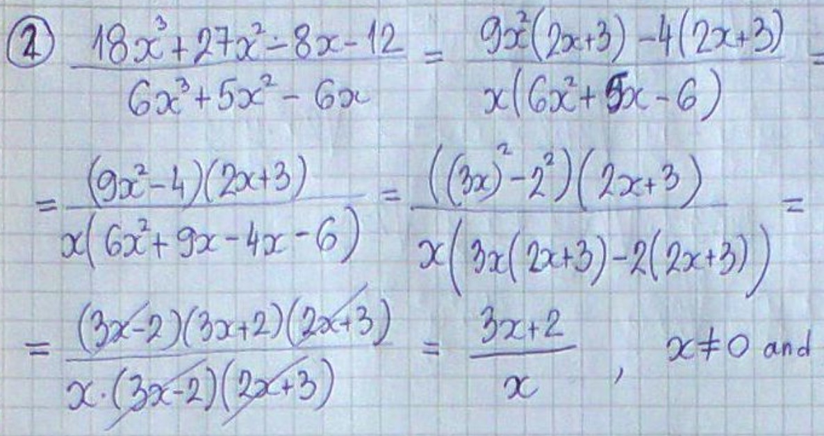
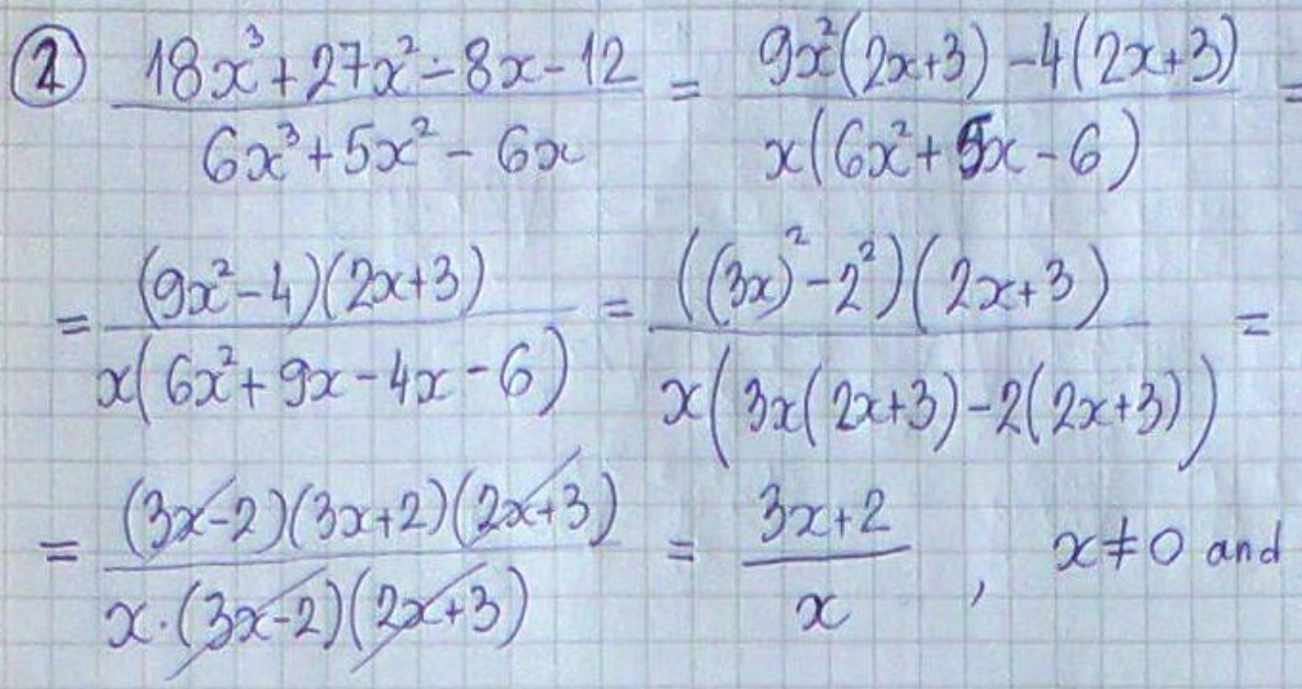
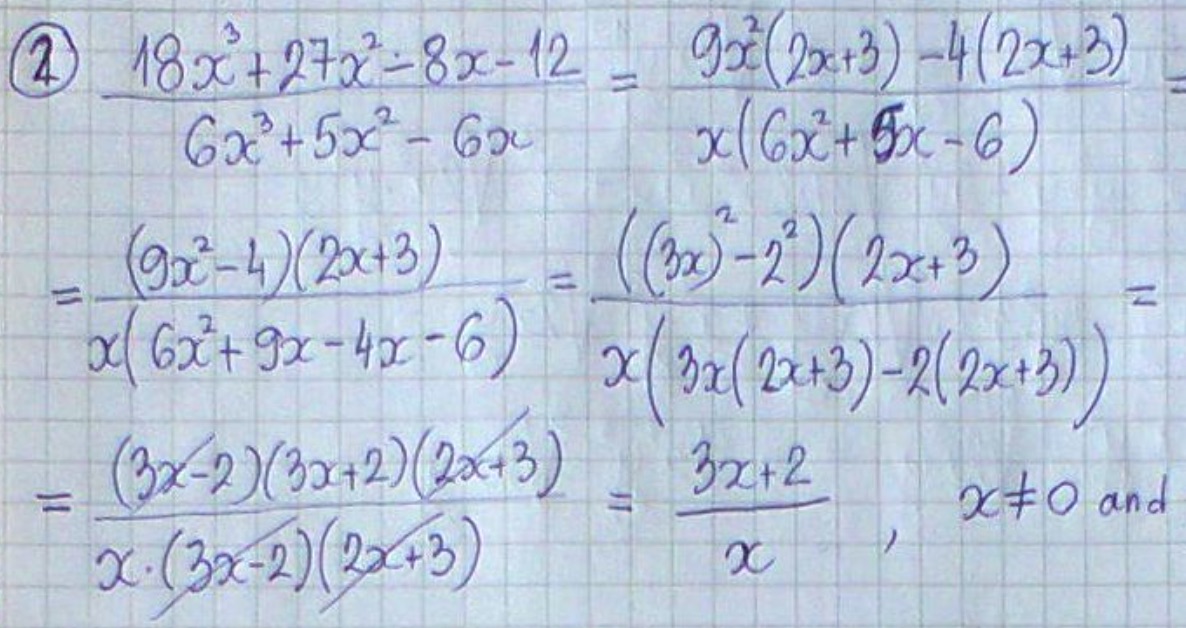
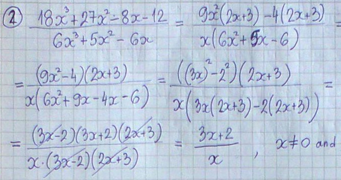
18x³ + 27x² - 8x- 12 2. (2.5 points) Simplify: 6x3 + 5.2 - ...
18x³ + 27x² - 8x- 12 2. (2.5 points) Simplify: 6x3 + 5.2 - 6x...