Subjects
Online Tutoring
Homework Help
Homework Library
Tutors
More
Bookstore
Blog
Technical Tips
FAQ
Contact Us
Get Help Now
Home
Homework Library
Mathematics
Basic Math
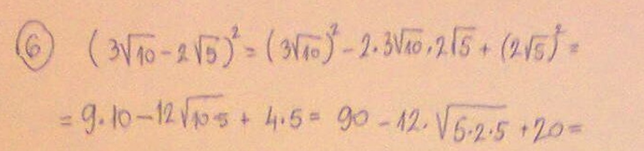
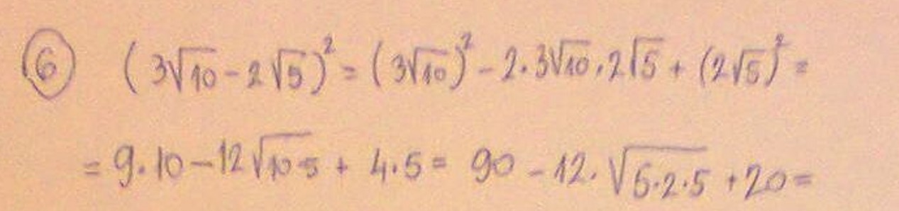
6. (2.5 points) Multiply: (3VT0-2V5) 7. (2.5 points) Solve the rad...
6. (2.5 points) Multiply: (3VT0-2V5) 7. (2.5 points) Solve the rad...