Subjects
Online Tutoring
Homework Help
Homework Library
Tutors
Online Classes
More
Bookstore
Blog
Technical Tips
FAQ
Contact Us
Get Help Now
Home
Homework Library
Mathematics
Basic Math
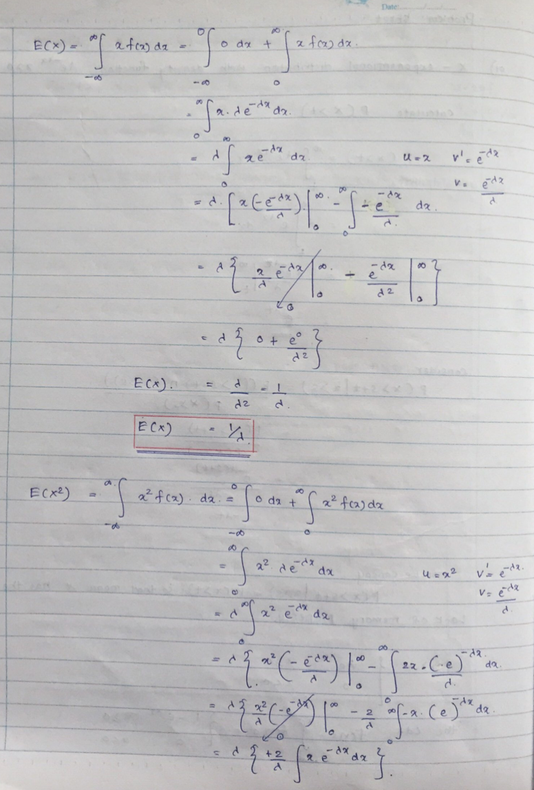
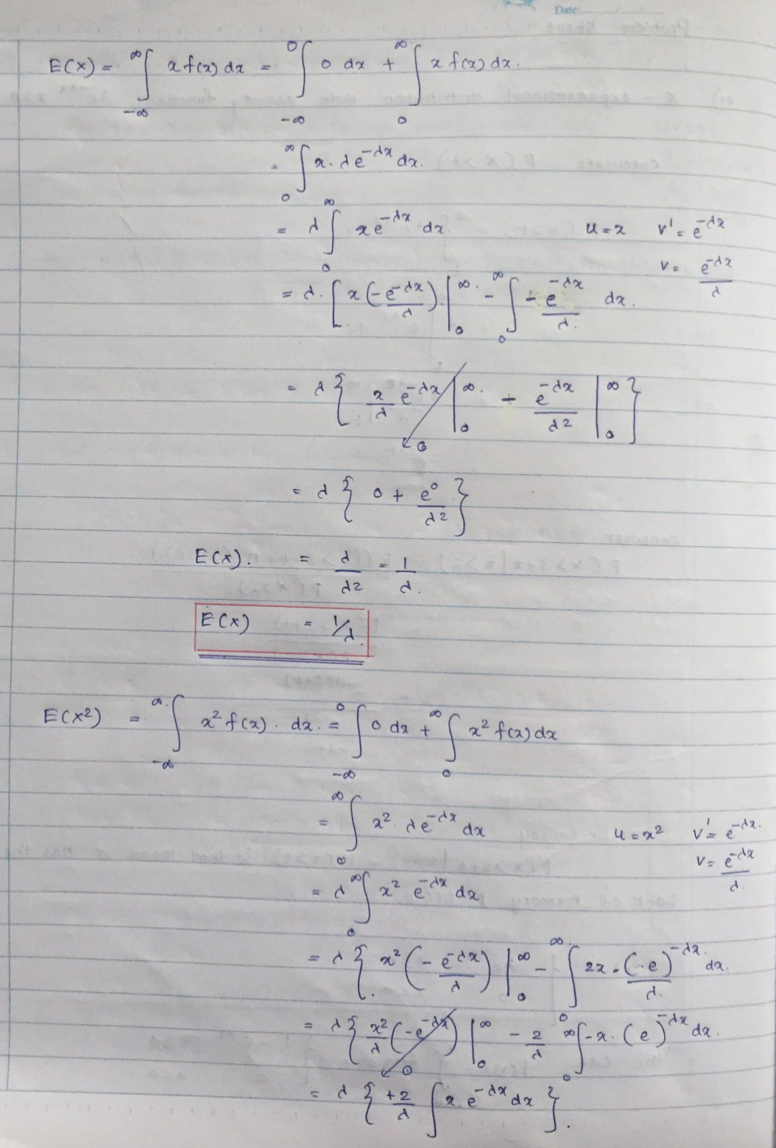
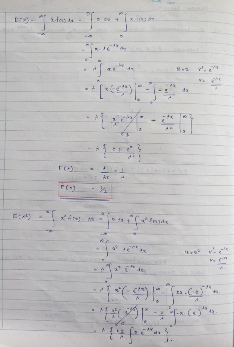
1. Let X have the exponential distribution with density le-to for x...
1. Let X have the exponential distribution with density le-to for x...