Subjects
Online Tutoring
Homework Help
Homework Library
Tutors
Online Classes
More
Bookstore
Blog
Technical Tips
FAQ
Contact Us
Get Help Now
Home
Homework Library
Mathematics
Calculus
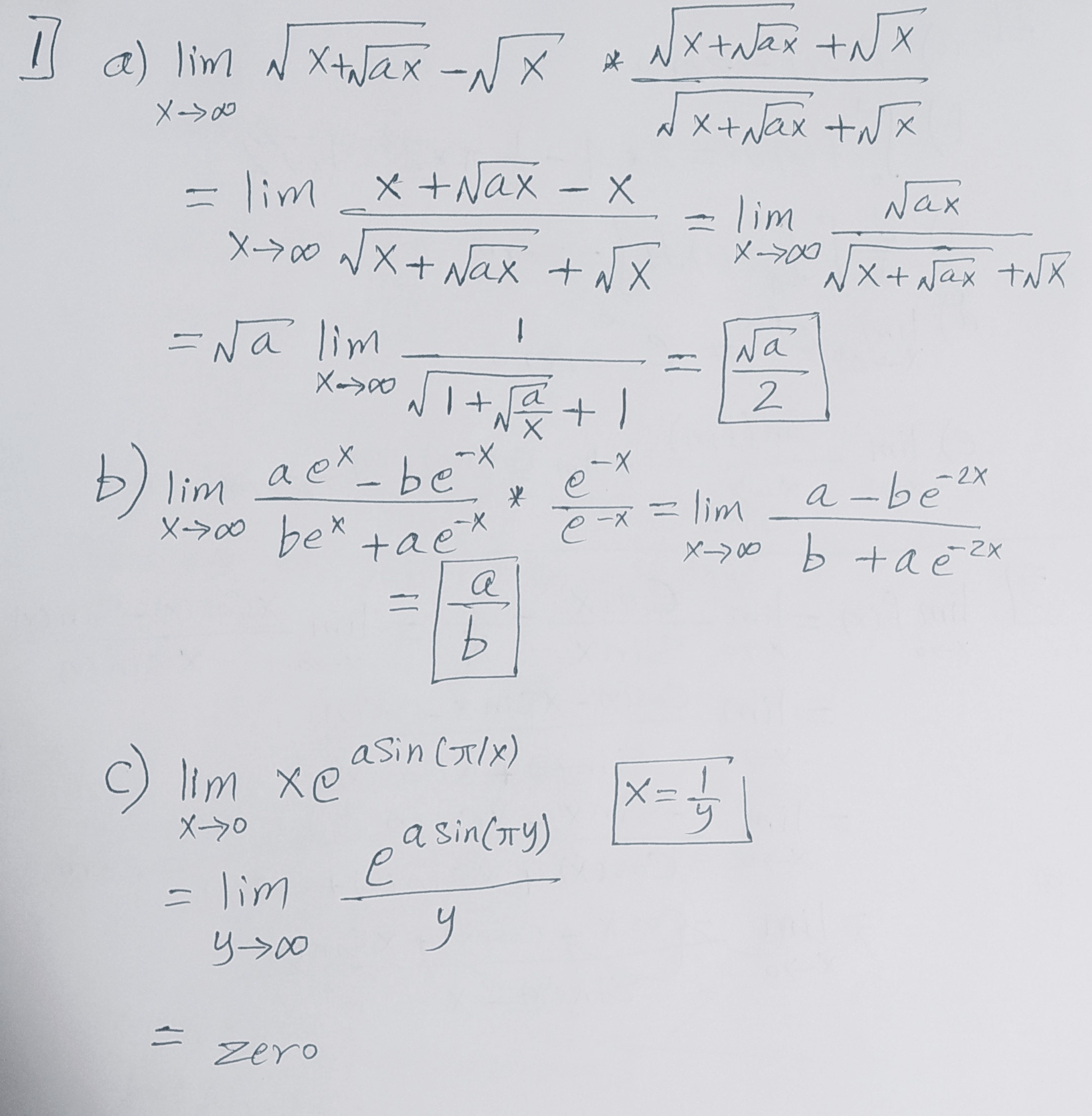
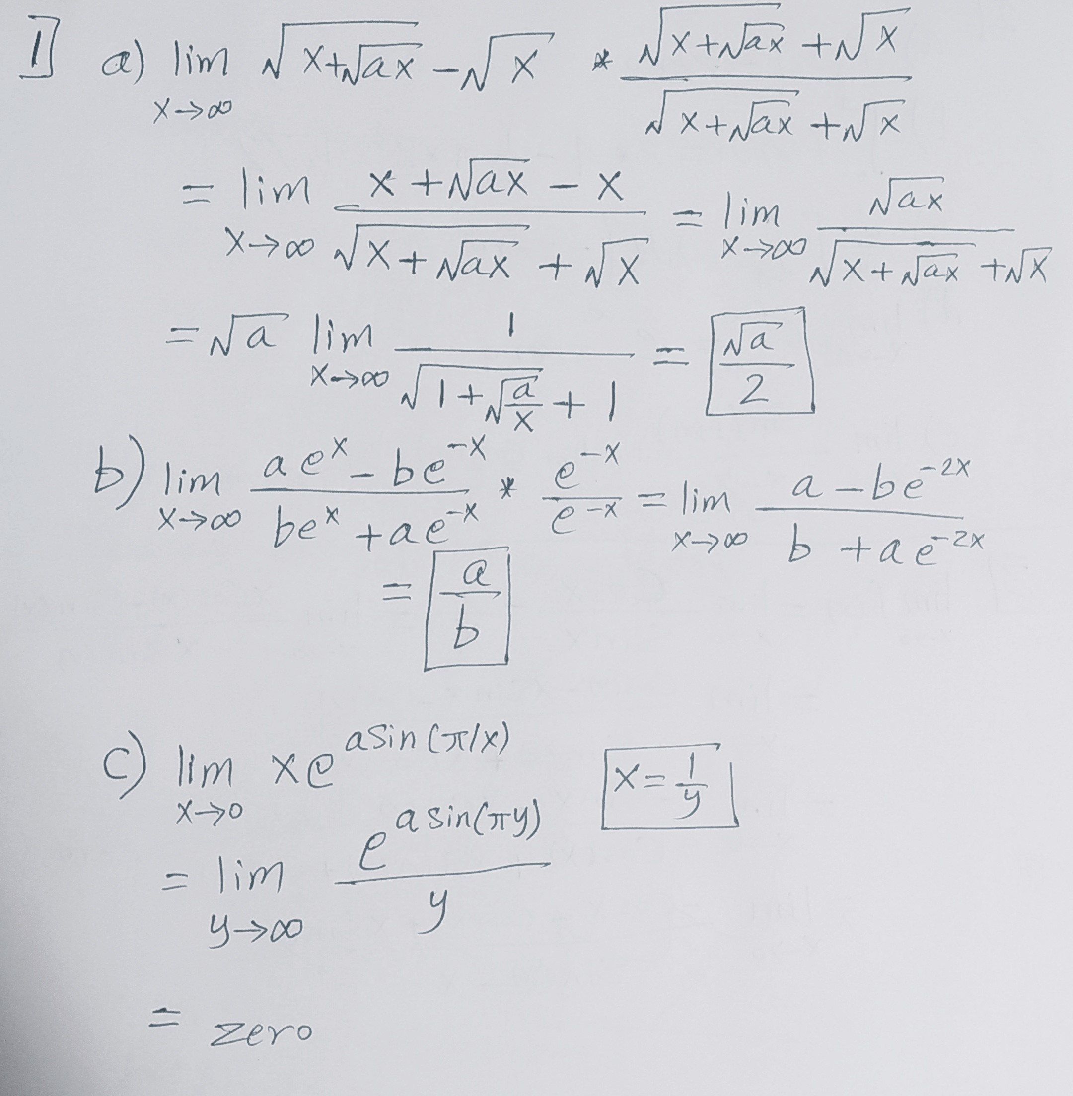
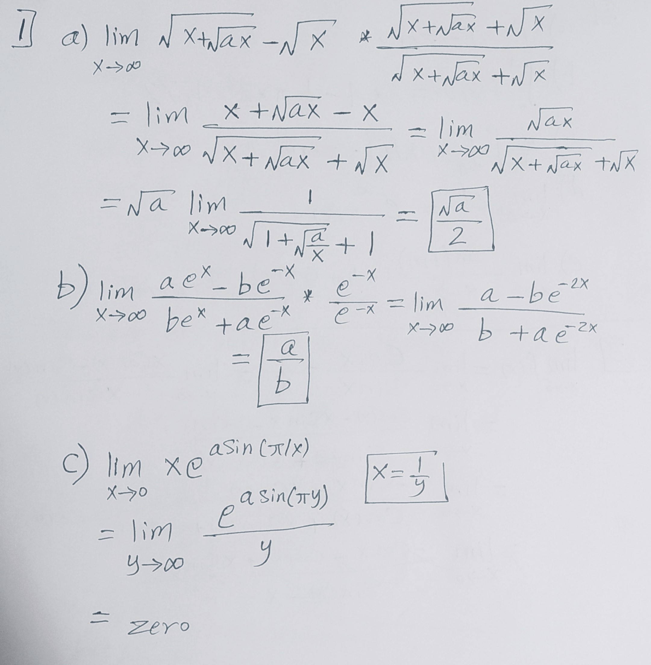
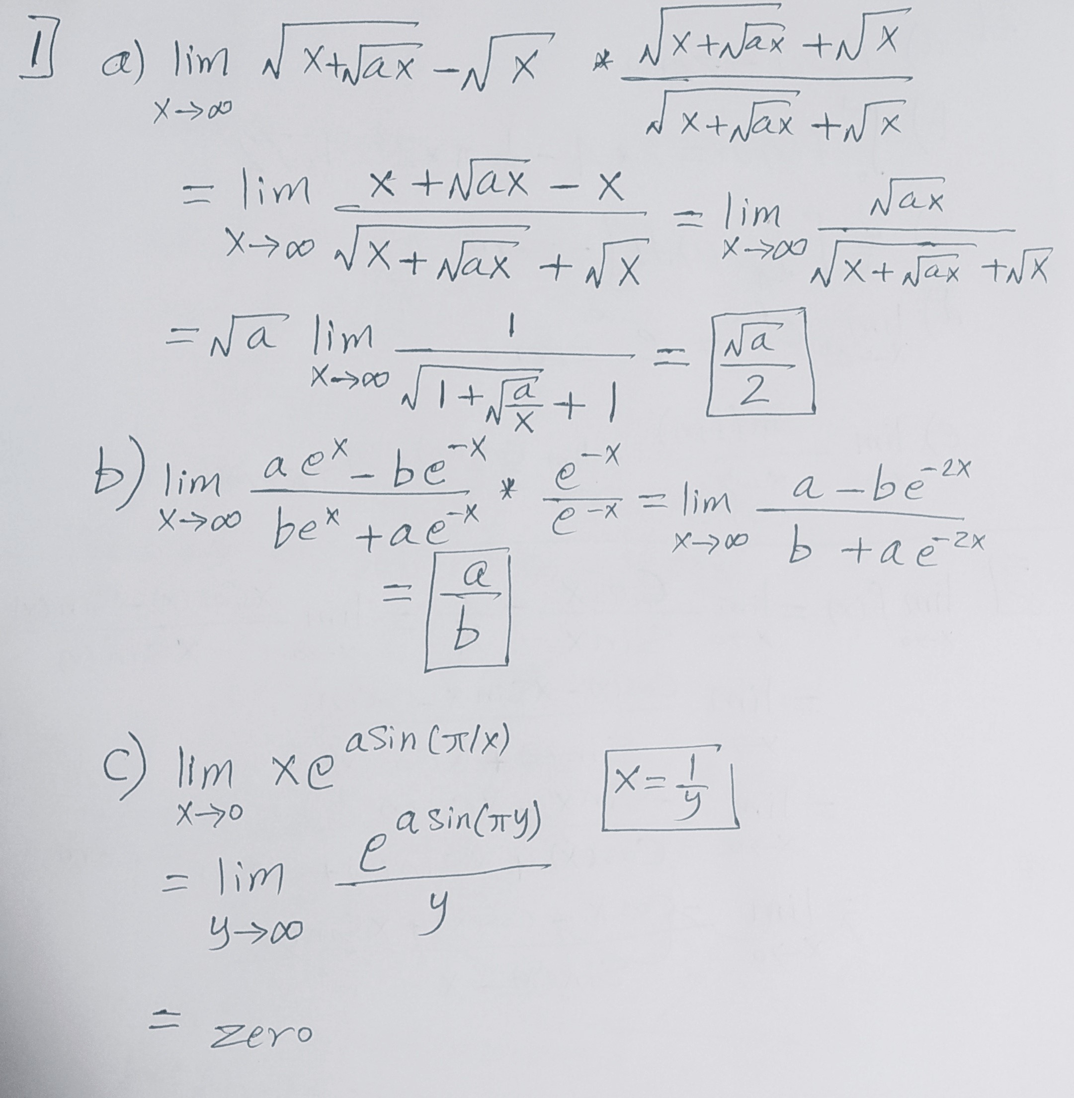
1. Let a and b be fixed positive numbers. Compute the following li...
1. Let a and b be fixed positive numbers. Compute the following li...