Subjects
Online Tutoring
Homework Help
Homework Library
Tutors
Online Classes
More
Bookstore
Blog
Technical Tips
FAQ
Contact Us
Get Help Now
Home
Homework Library
Mathematics
Calculus
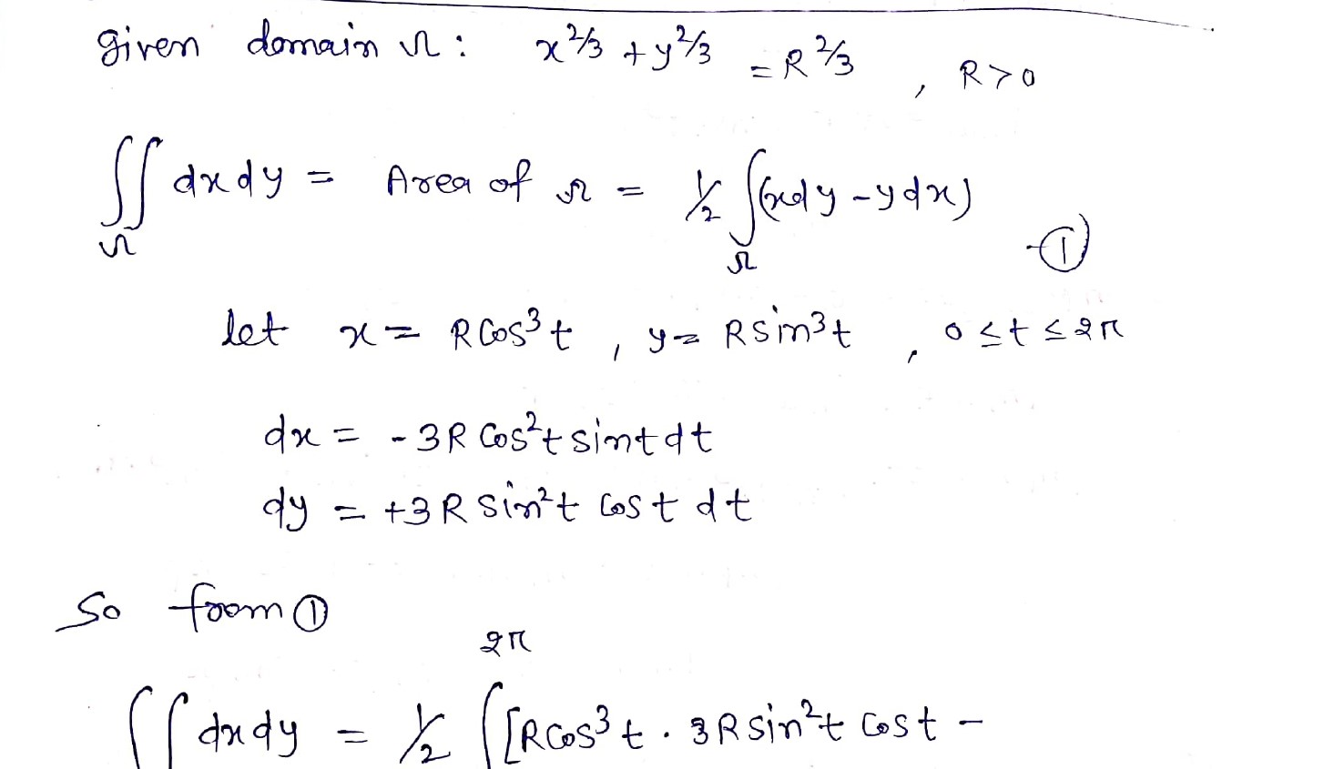
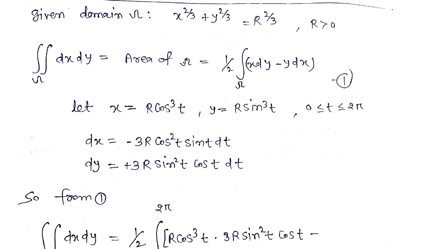
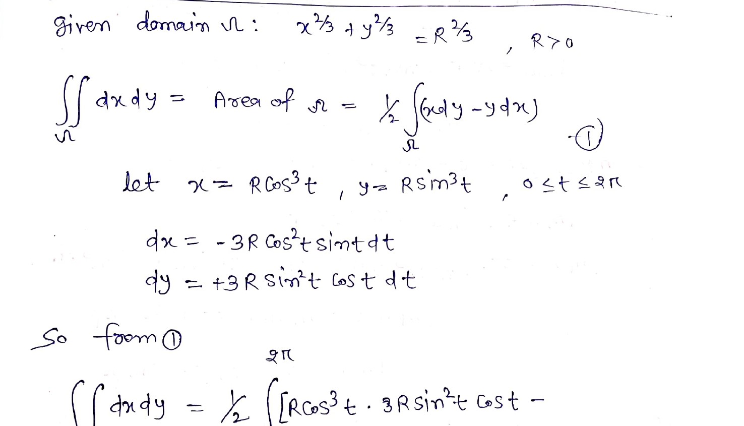
7. Compute 11. 1 dxdy, where St is a domain described Compute 11...
7. Compute 11. 1 dxdy, where St is a domain described Compute 11...