Subjects
Online Tutoring
Homework Help
Homework Library
Tutors
Online Classes
More
Bookstore
Blog
Technical Tips
FAQ
Contact Us
Get Help Now
Home
Homework Library
Mathematics
Calculus
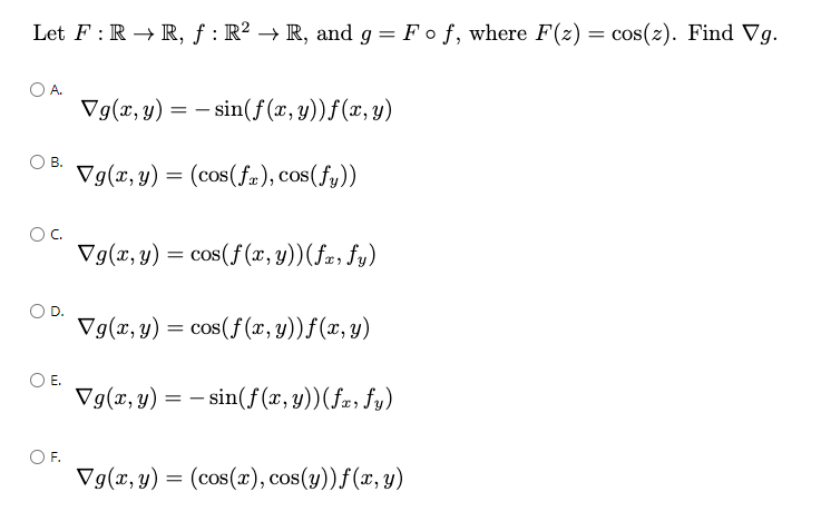
Let F:R -> R, f : R2 - R, and g = Fof, where F(z) = cos(z). Find...
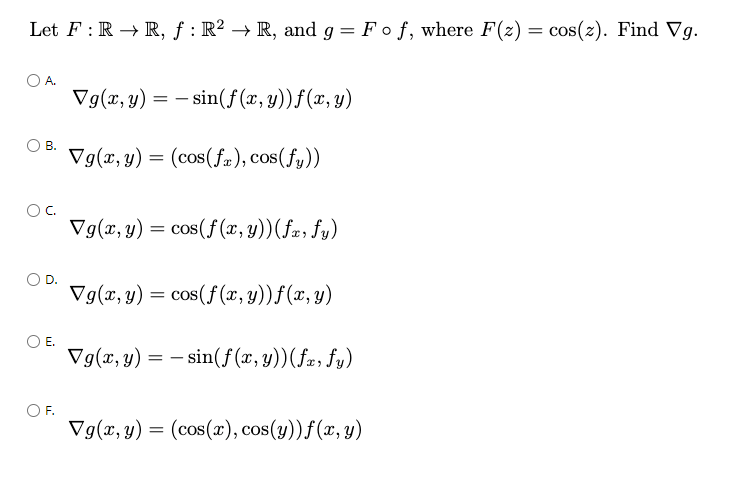
Let F:R -> R, f : R2 - R, and g = Fof, where F(z) = cos(z). Find...