Subjects
Online Tutoring
Homework Help
Homework Library
Tutors
Online Classes
More
Bookstore
Blog
Technical Tips
FAQ
Contact Us
Get Help Now
Home
Homework Library
Mathematics
Calculus
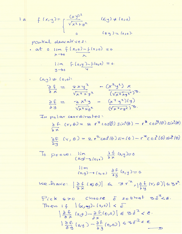
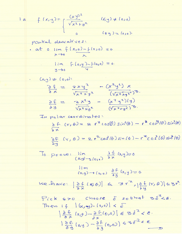
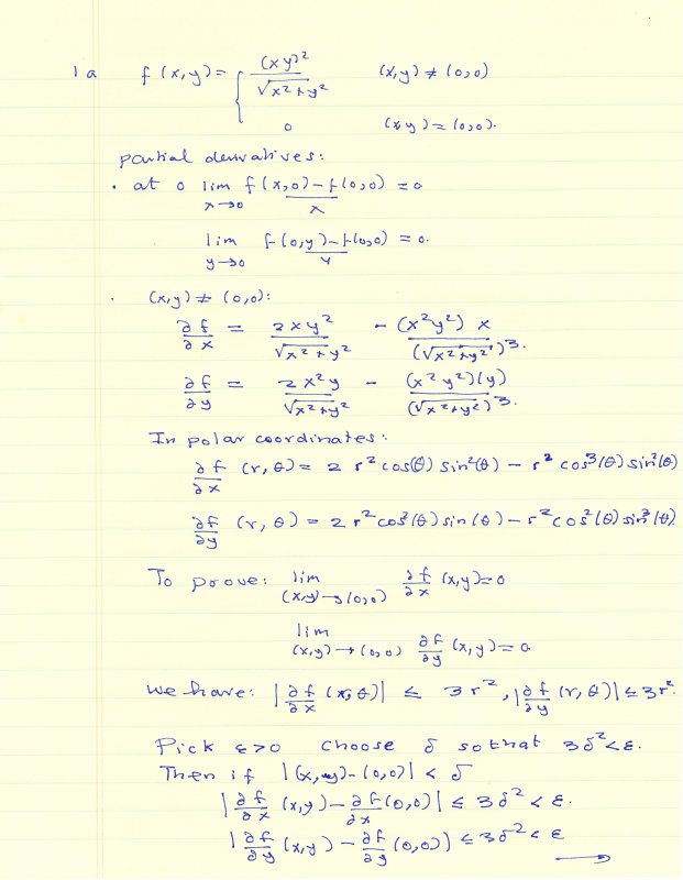
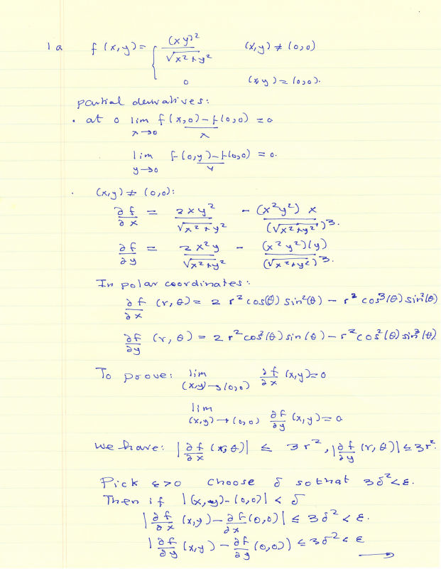
Question 1. (a) Let f R² R defined by f(r,y) = 0, (=g)² if =...
Question 1. (a) Let f R² R defined by f(r,y) = 0, (=g)² if = Us...