Subjects
Online Tutoring
Homework Help
Homework Library
Tutors
Online Classes
More
Bookstore
Blog
Technical Tips
FAQ
Contact Us
Get Help Now
Home
Homework Library
Mathematics
Calculus
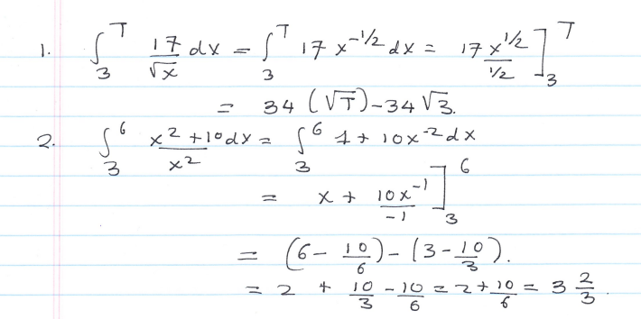
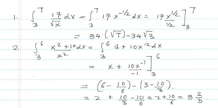
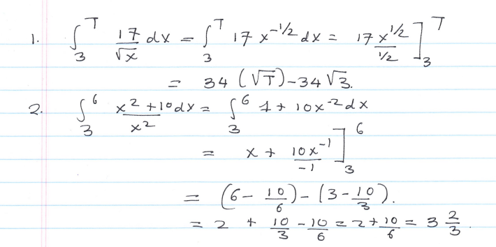
1. Evaluate the integral Z T 3 17 √ x dx 2. Evaluate th...
1. Evaluate the integral Z T 3 17 √ x dx 2. Evaluate the i...