Subjects
Online Tutoring
Homework Help
Homework Library
Tutors
Online Classes
More
Bookstore
Blog
Technical Tips
FAQ
Contact Us
Get Help Now
Home
Homework Library
Mathematics
Calculus
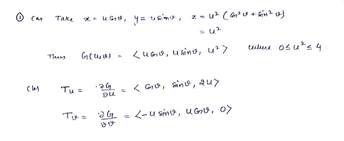
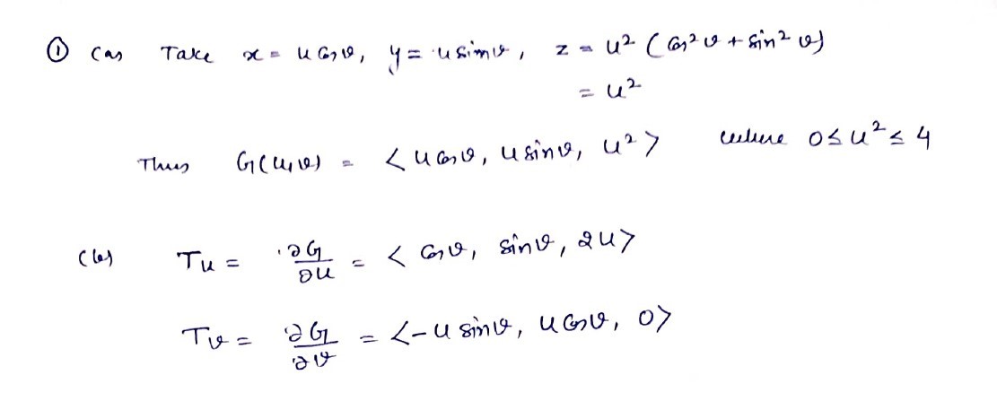
1. Let S be the part of the paraboloid z=x2+y2 = between Z = 0 and ...
1. Let S be the part of the paraboloid z=x2+y2 = between Z = 0 and...