Subjects
Online Tutoring
Homework Help
Homework Library
Tutors
Online Classes
More
Bookstore
Blog
Technical Tips
FAQ
Contact Us
Get Help Now
Home
Homework Library
Mathematics
Calculus
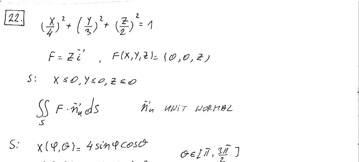
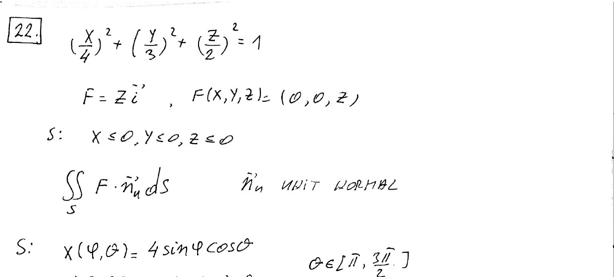
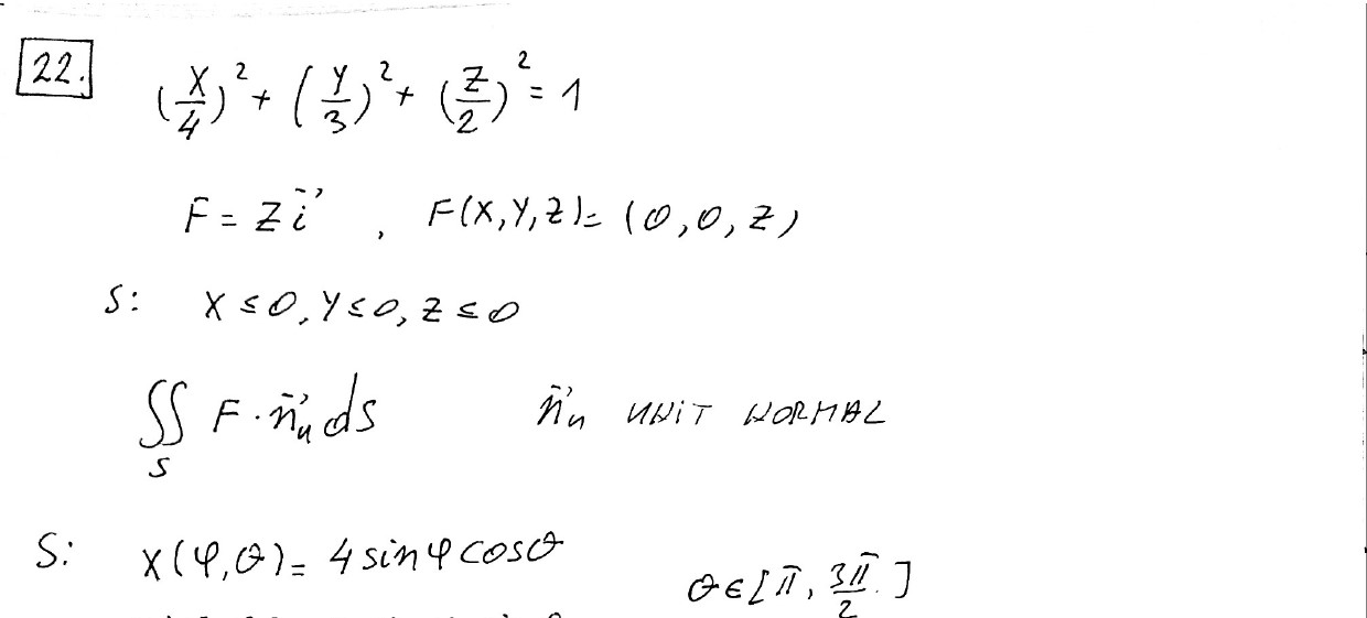
22. Let S be the ellipsoid Calculate the flux of F = zi over the...
22. Let S be the ellipsoid Calculate the flux of F = zi over the...