Subjects
Online Tutoring
Homework Help
Homework Library
Tutors
Online Classes
More
Bookstore
Blog
Technical Tips
FAQ
Contact Us
Get Help Now
Home
Homework Library
Mathematics
Calculus
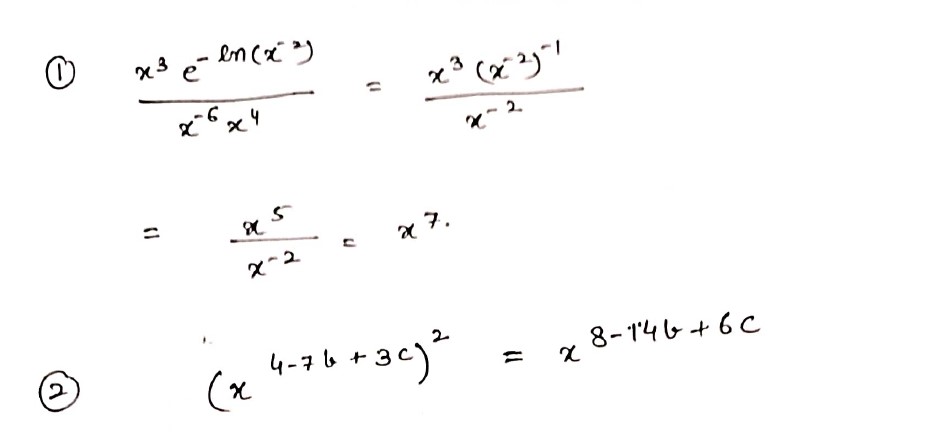
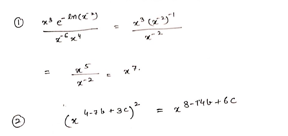
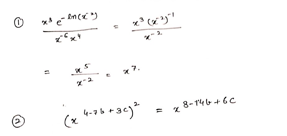
Answer the following questions: Exponents (5 points each) 1. x3e-...
Answer the following questions: Exponents (5 points each) 1. x3e-...