Subjects
Online Tutoring
Homework Help
Homework Library
Tutors
Online Classes
More
Bookstore
Blog
Technical Tips
FAQ
Contact Us
Get Help Now
Home
Homework Library
Mathematics
Calculus
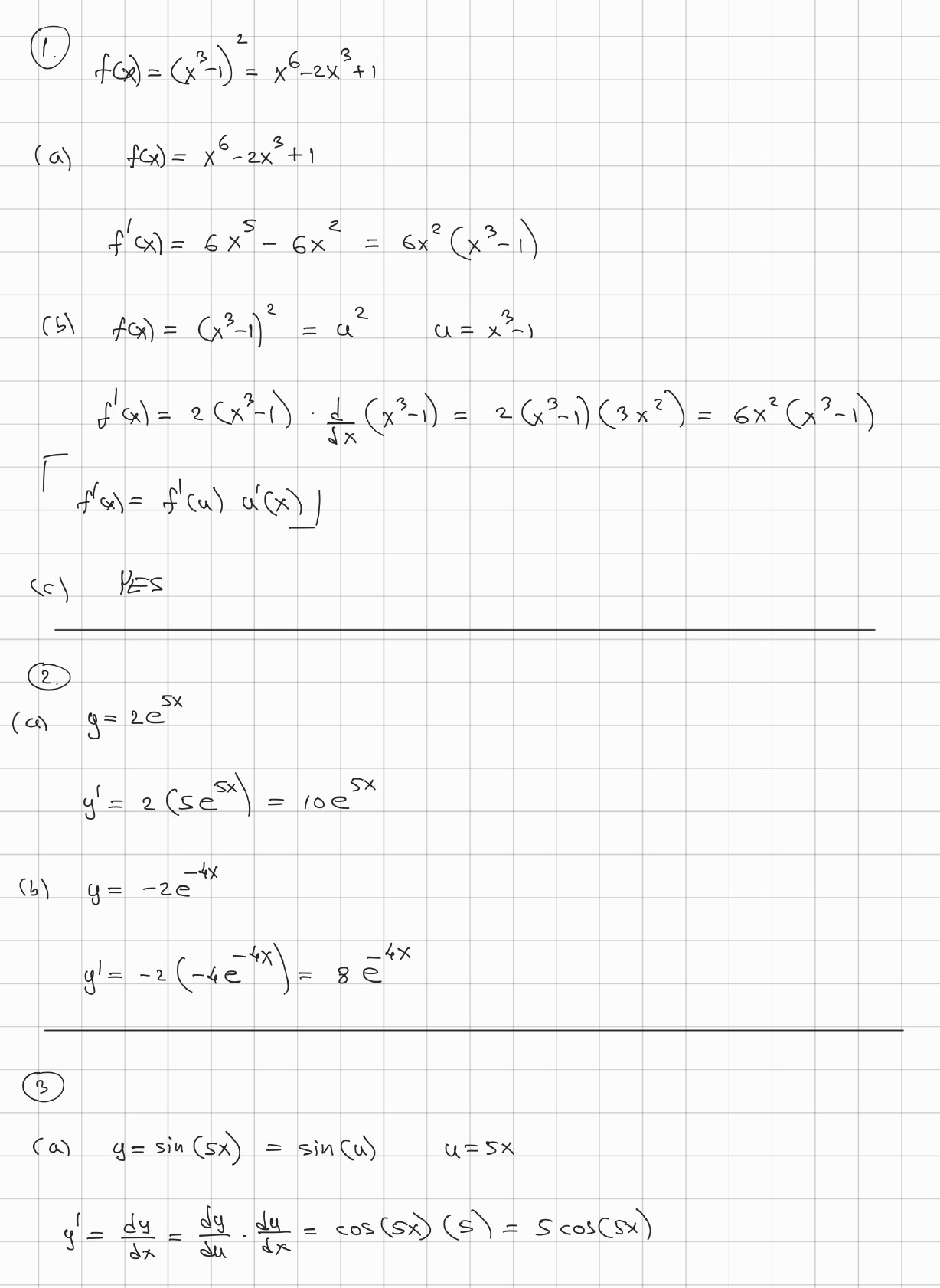
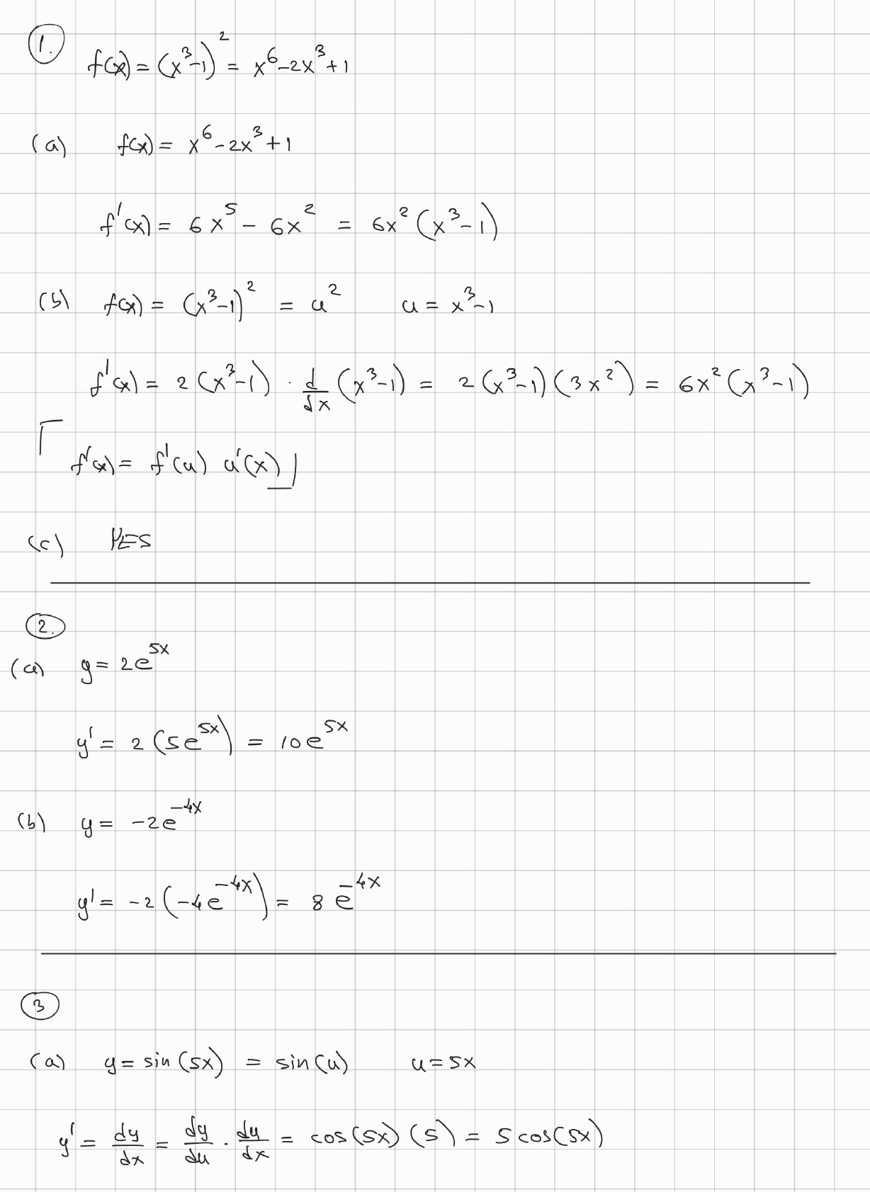
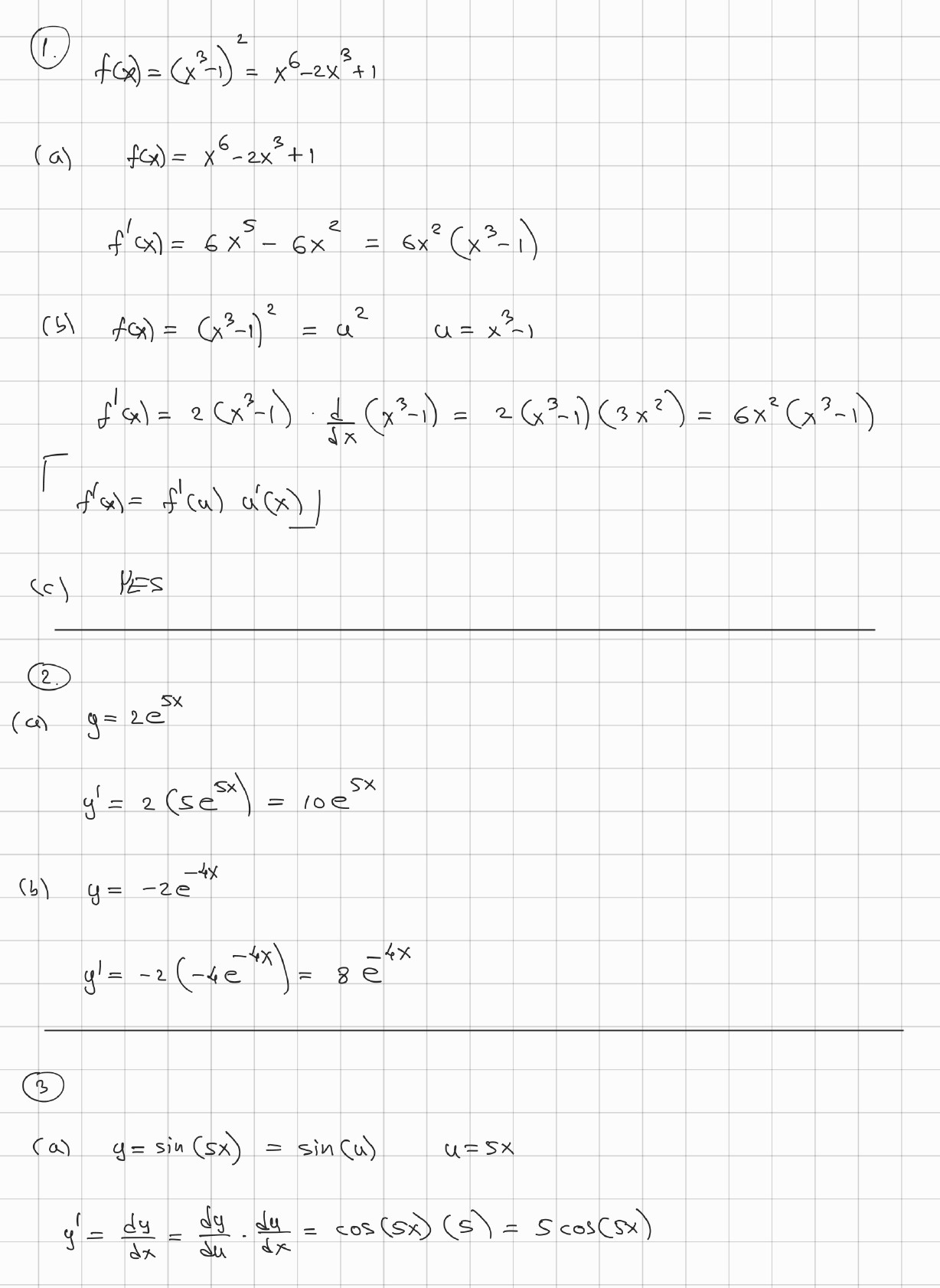
1. (5 points) = = - (a) Find the derivative of y using f(x) = x 6 ...
1. (5 points) = = - (a) Find the derivative of y using f(x) = x 6...