Subjects
Online Tutoring
Homework Help
Homework Library
Tutors
More
Bookstore
Blog
Technical Tips
FAQ
Contact Us
Get Help Now
Home
Homework Library
Mathematics
Calculus
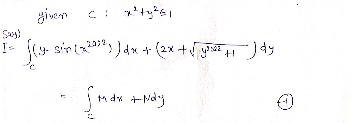
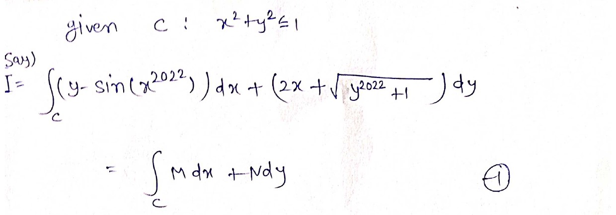
Let C be the circle centered at the origin of radius 1 orientated c...
Let C be the circle centered at the origin of radius 1 orientated c...