Subjects
Online Tutoring
Homework Help
Homework Library
Tutors
Online Classes
More
Bookstore
Blog
Technical Tips
FAQ
Contact Us
Get Help Now
Home
Homework Library
Mathematics
Calculus
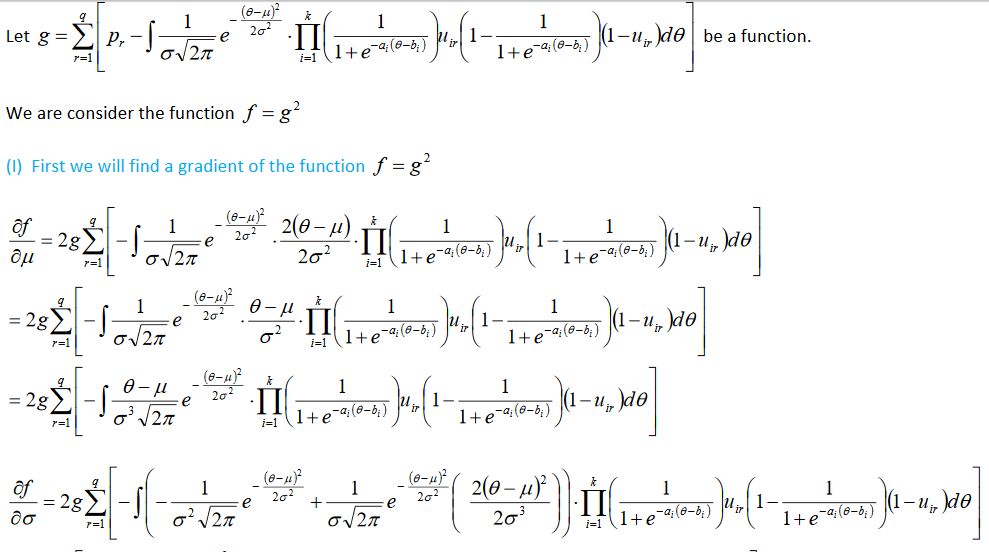
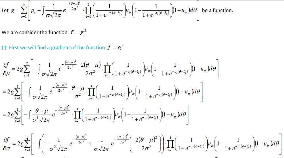
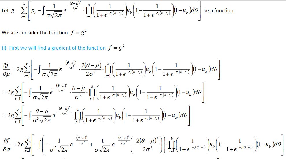
Find a gradient and a Hessian matrix of the following function with...
Find a gradient and a Hessian matrix of the following function with...