Subjects
Online Tutoring
Homework Help
Homework Library
Tutors
Online Classes
More
Bookstore
Blog
Technical Tips
FAQ
Contact Us
Get Help Now
Home
Homework Library
Mathematics
Calculus
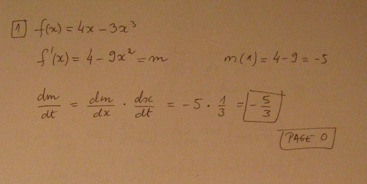
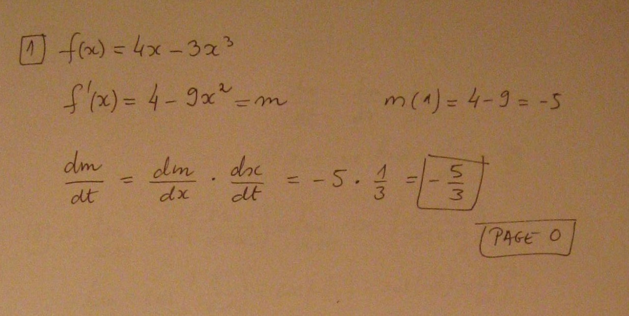
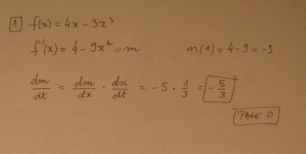
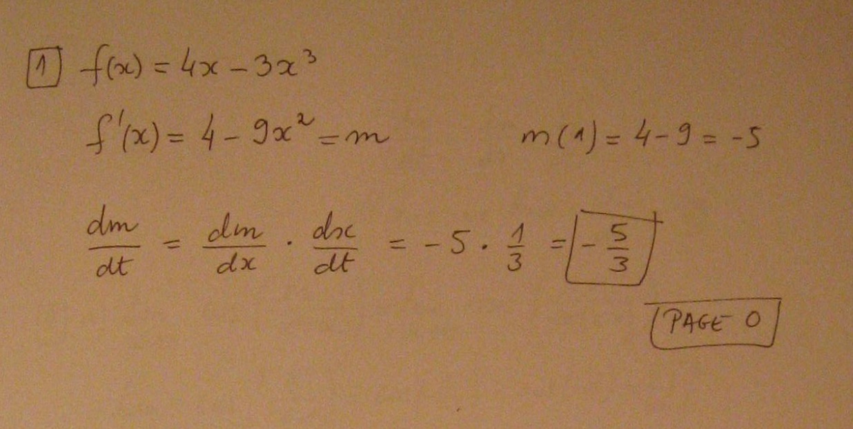
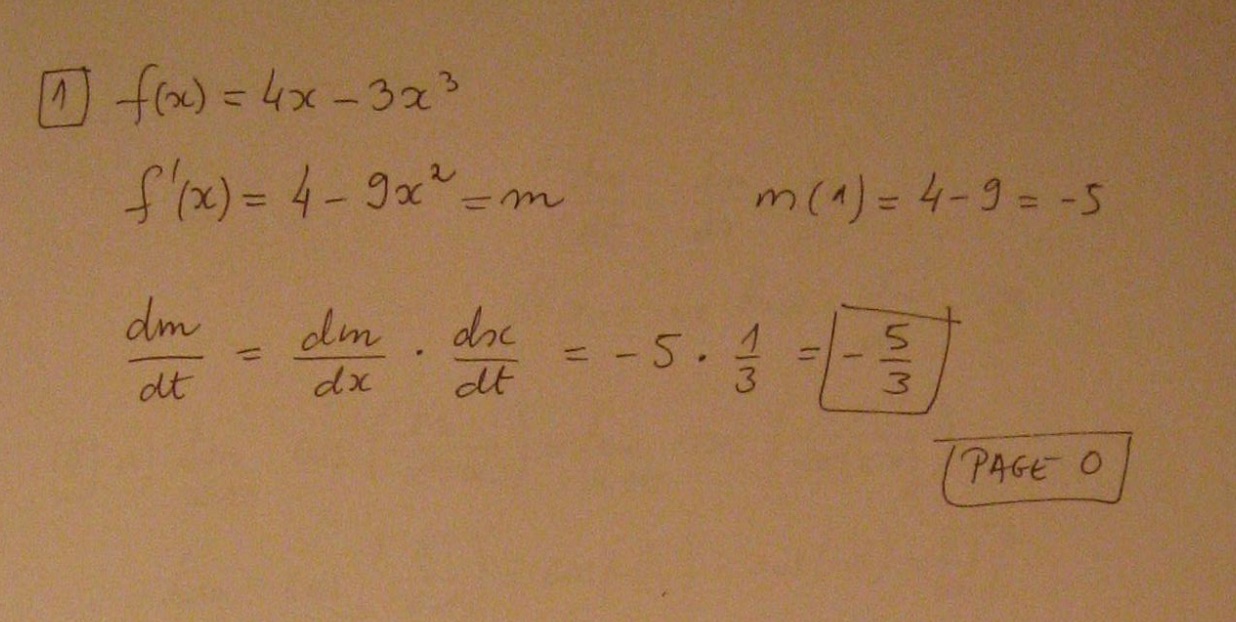
Let f(x) = =4x-3x's , if the rote of change of X with respect to t...
Let f(x) = =4x-3x's , if the rote of change of X with respect to t...