Subjects
Online Tutoring
Homework Help
Homework Library
Tutors
Online Classes
More
Bookstore
Blog
Technical Tips
FAQ
Contact Us
Get Help Now
Home
Homework Library
Mathematics
Calculus
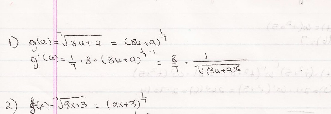
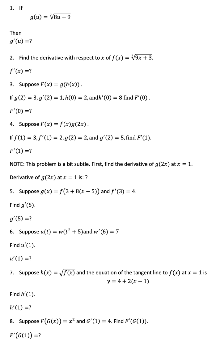
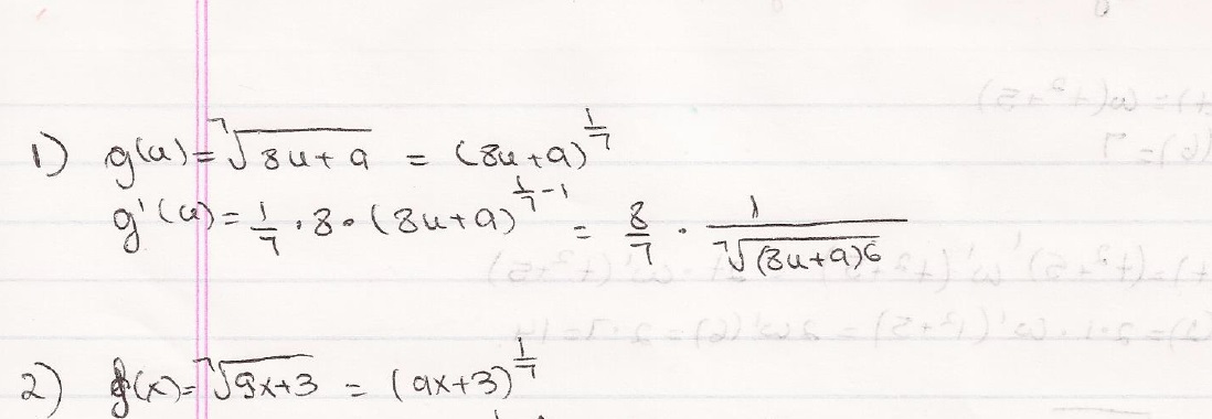
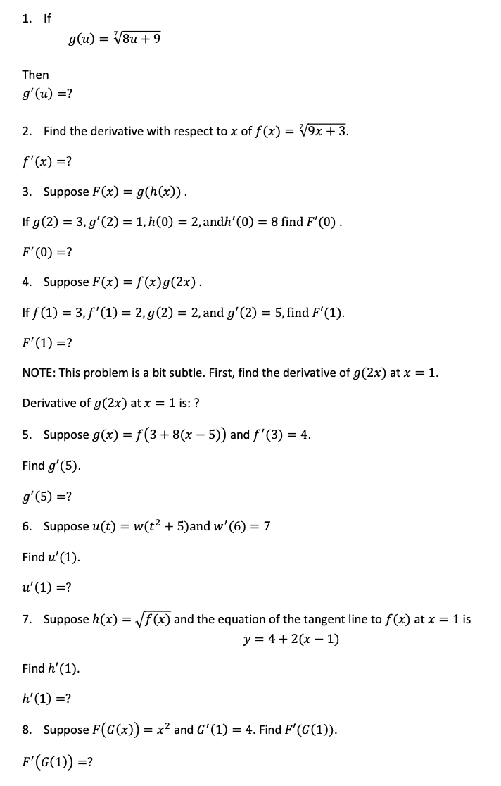
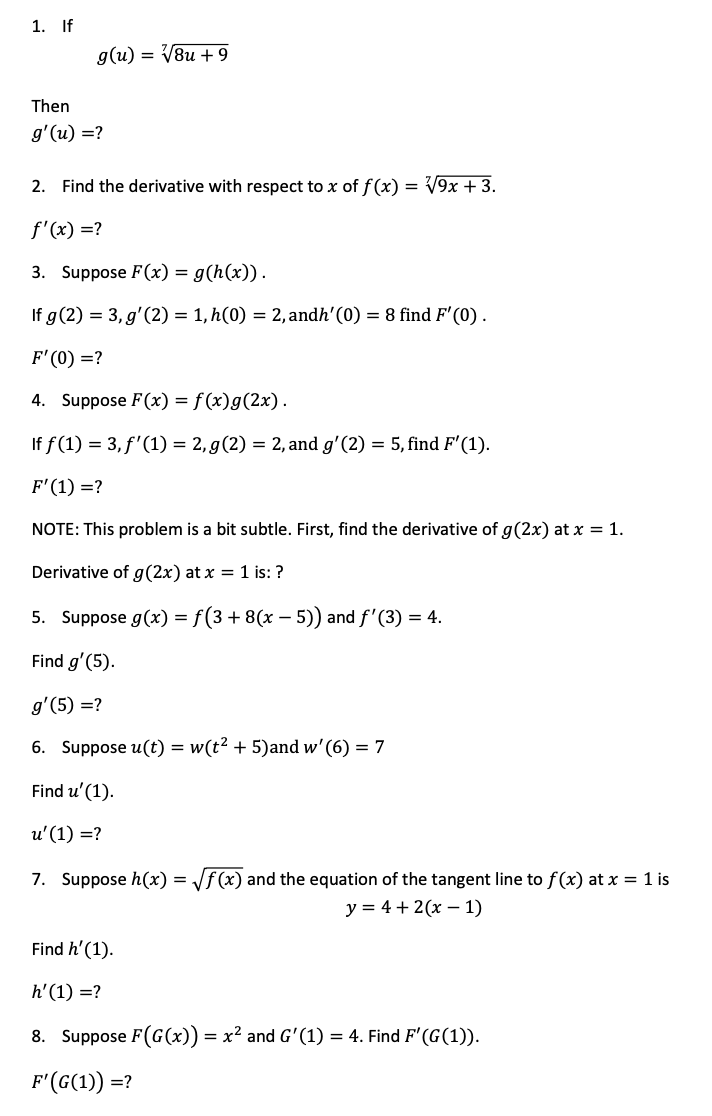
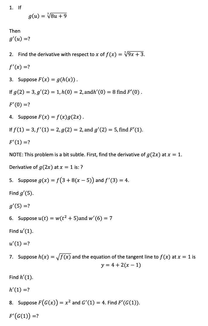
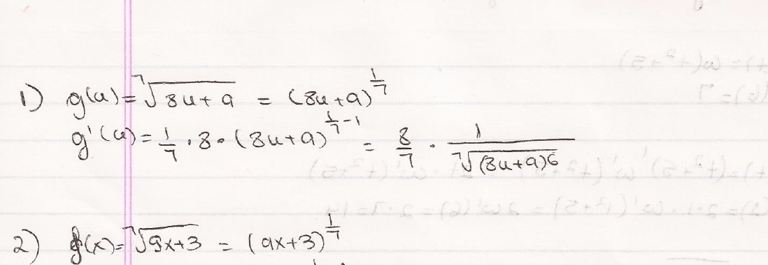
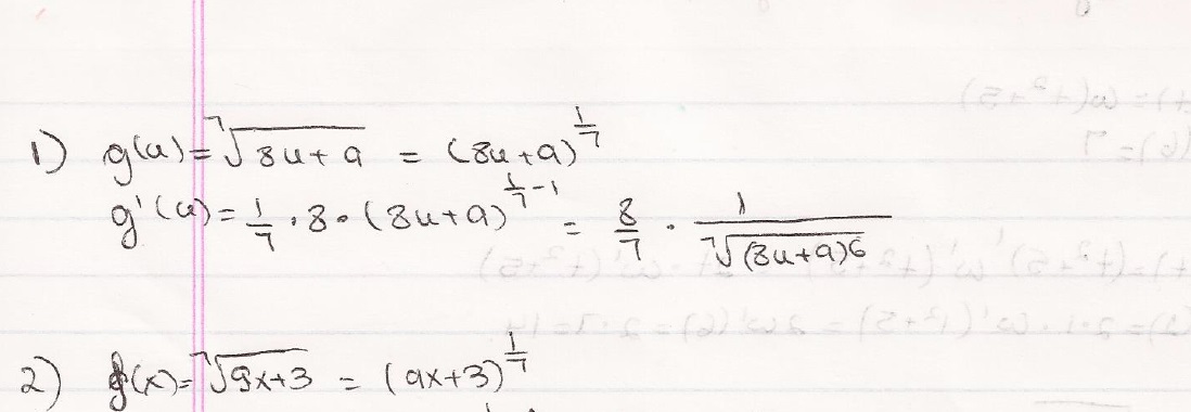
1. If g(u) /8u+9 Then g' (u) -? 2. Find the derivative with res...
1. If g(u) /8u+9 Then g' (u) -? 2. Find the derivative with res...