Subjects
Online Tutoring
Homework Help
Homework Library
Tutors
Online Classes
More
Bookstore
Blog
Technical Tips
FAQ
Contact Us
Get Help Now
Home
Homework Library
Mathematics
Calculus
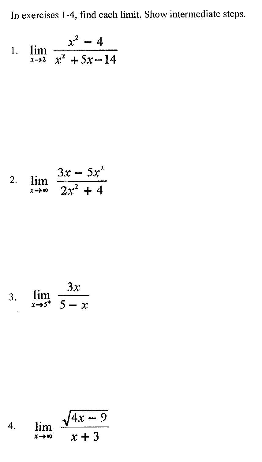
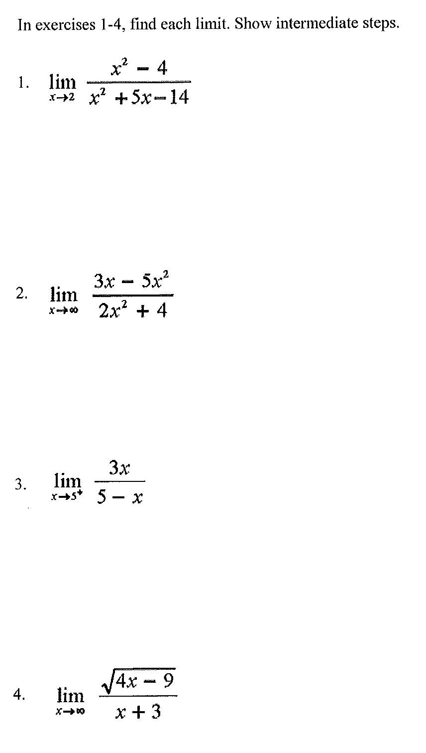
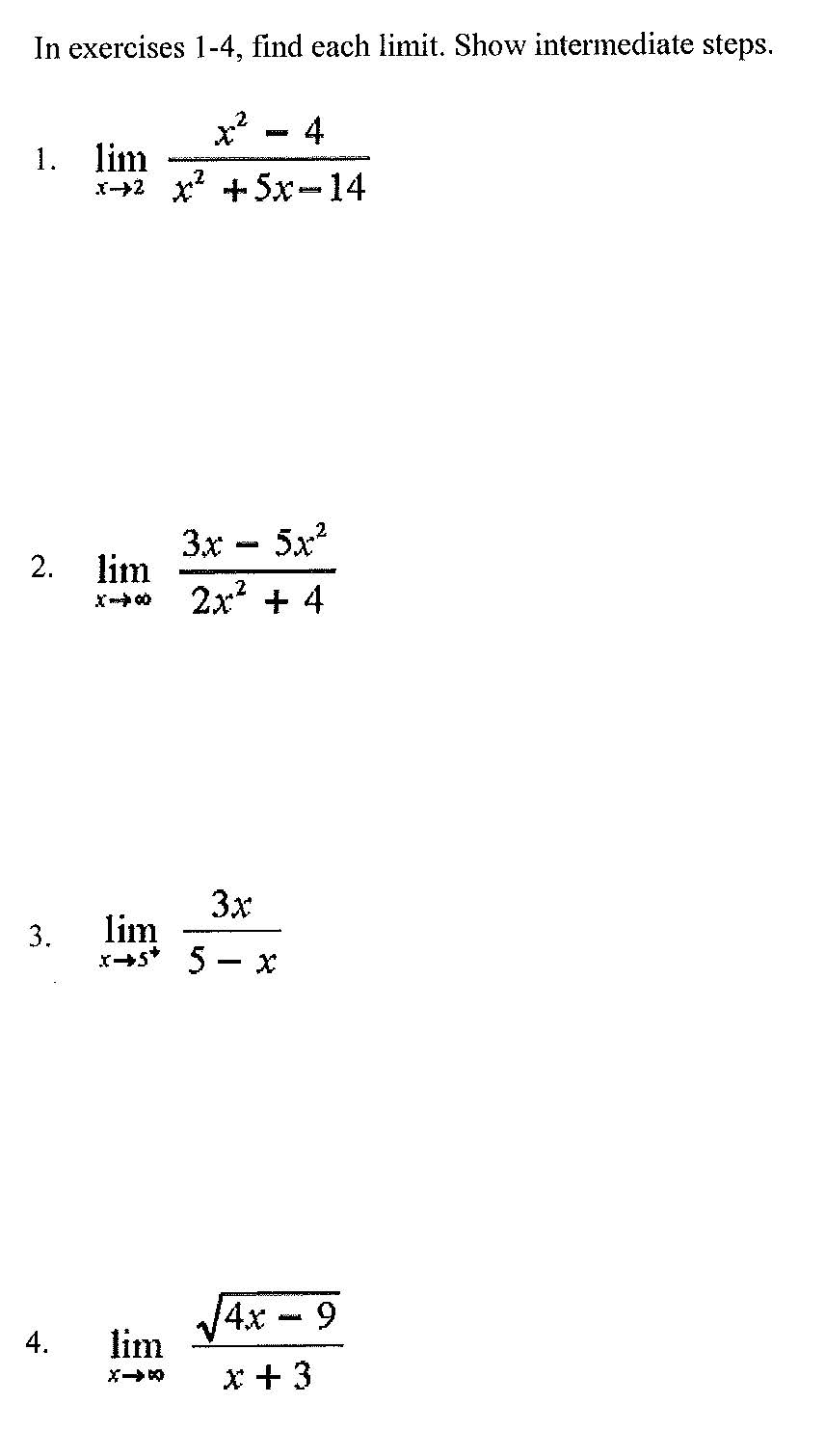
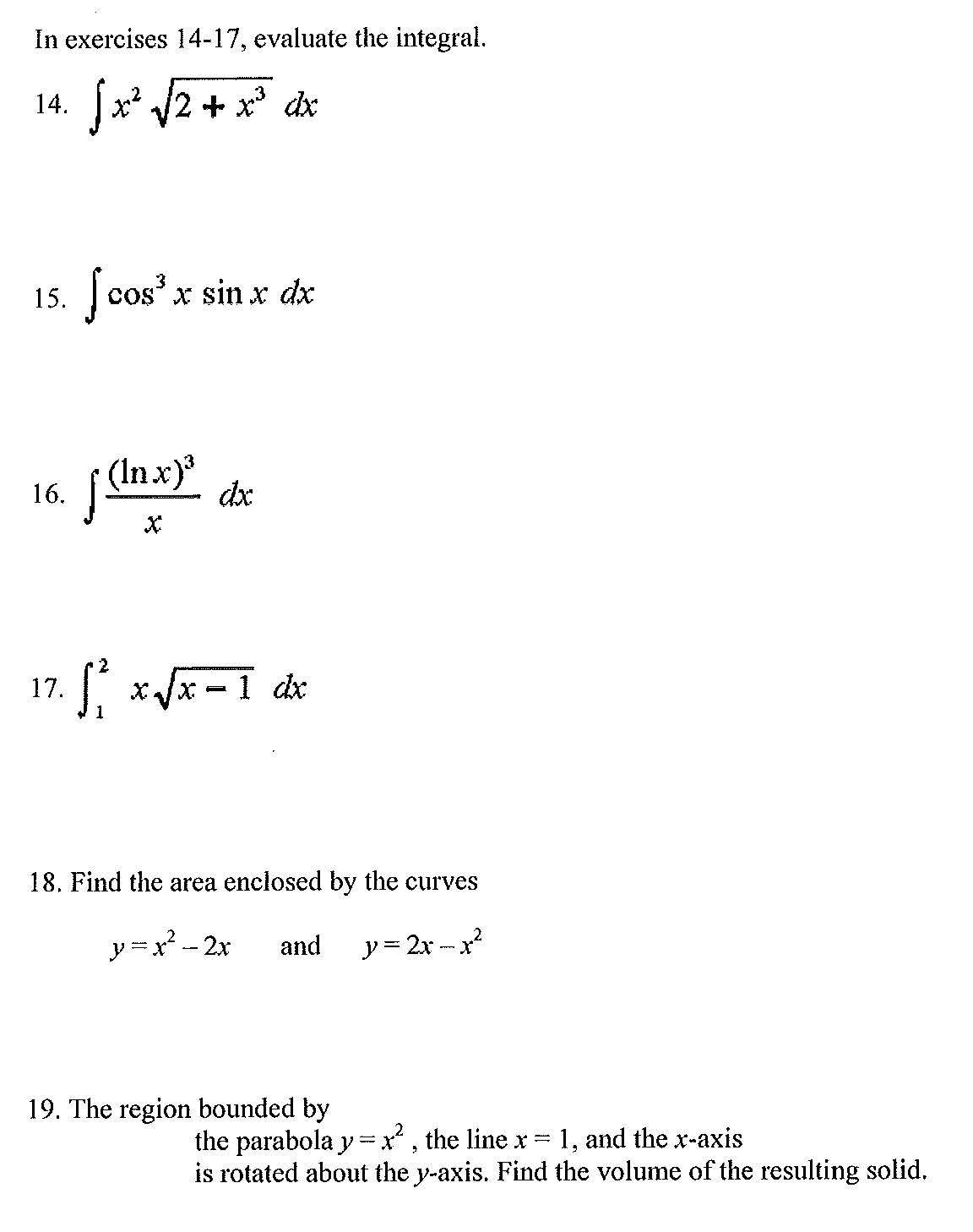
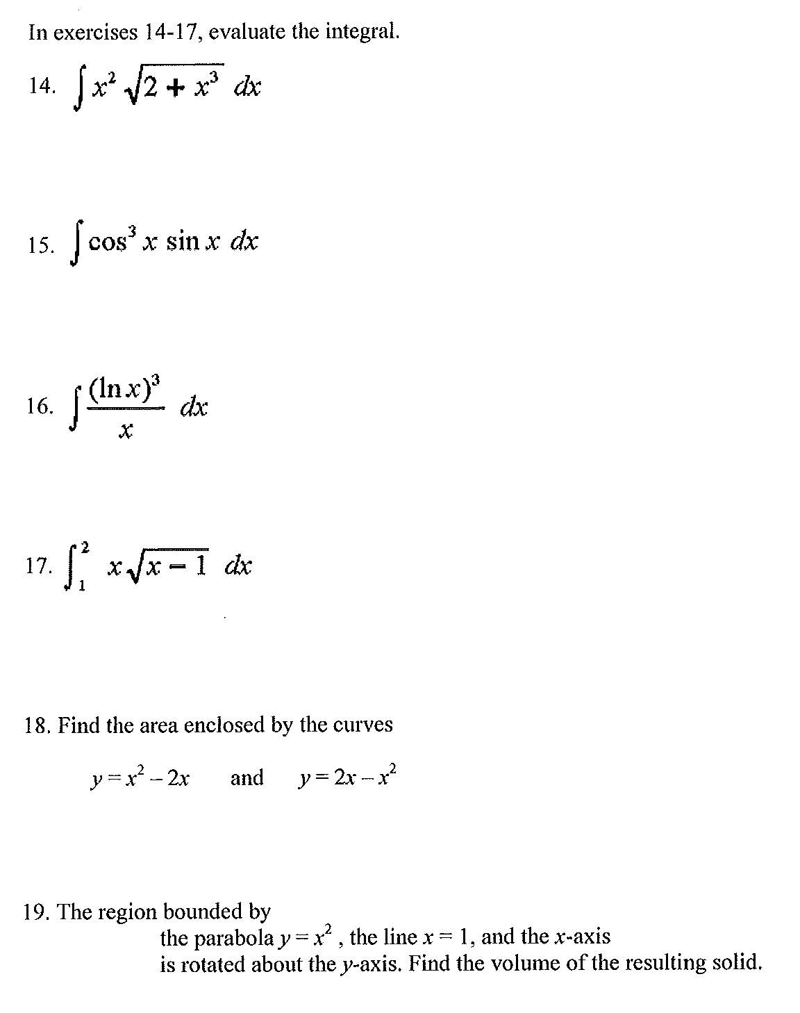
In exercises 1-4, find each limit. Show intermediate steps. x2-4 ...
In exercises 1-4, find each limit. Show intermediate steps. x2-4...