Subjects
Online Tutoring
Homework Help
Homework Library
Tutors
Online Classes
More
Bookstore
Blog
Technical Tips
FAQ
Contact Us
Get Help Now
Home
Homework Library
Mathematics
Calculus
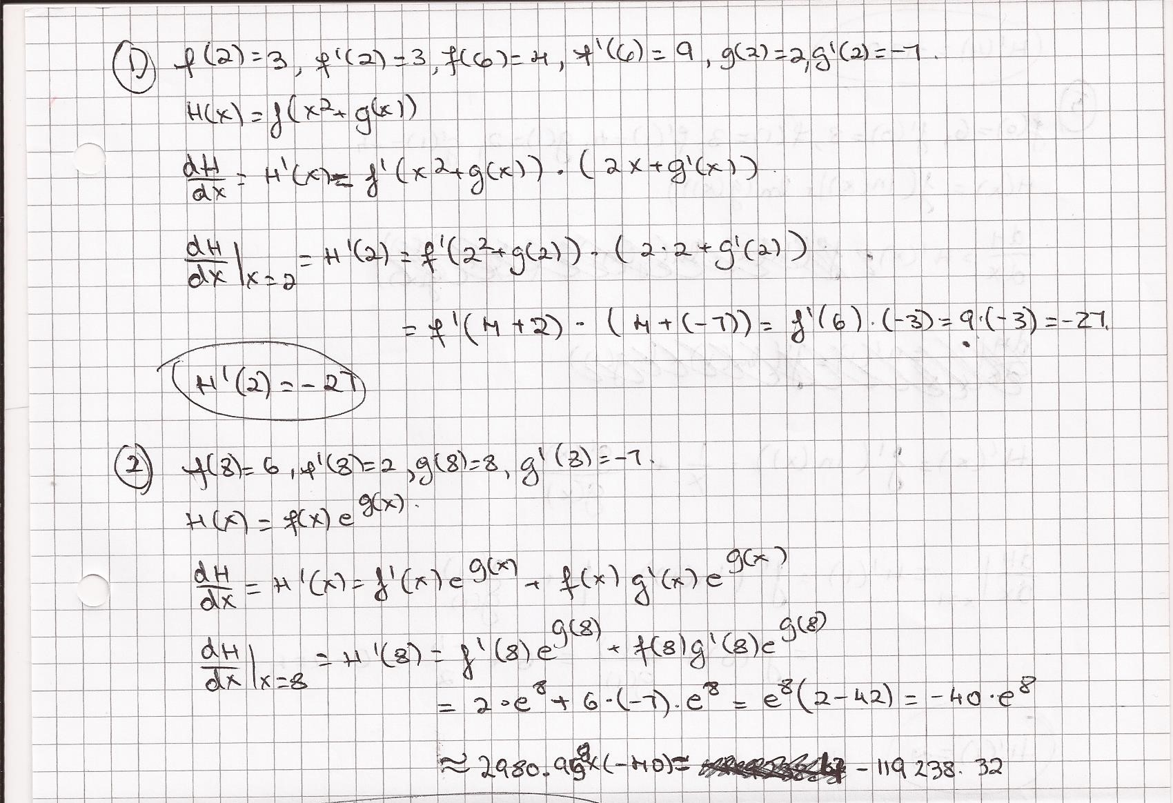
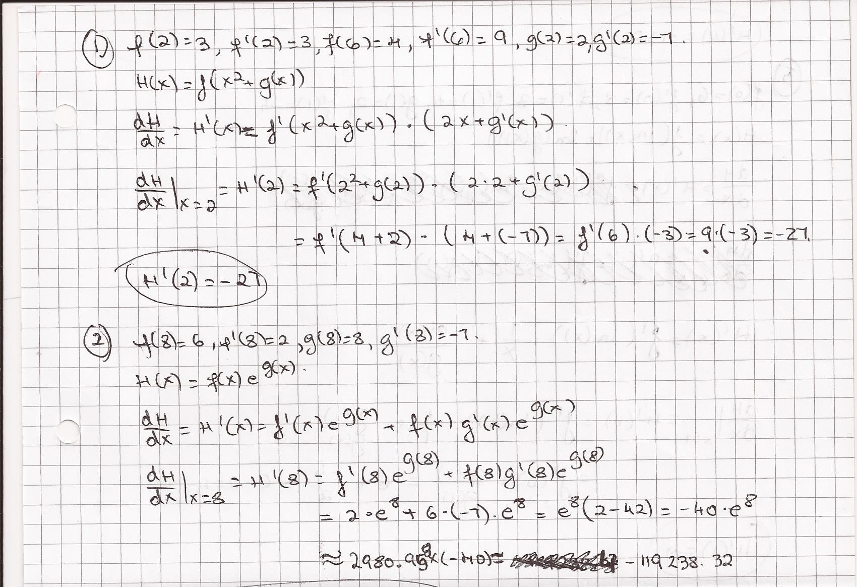
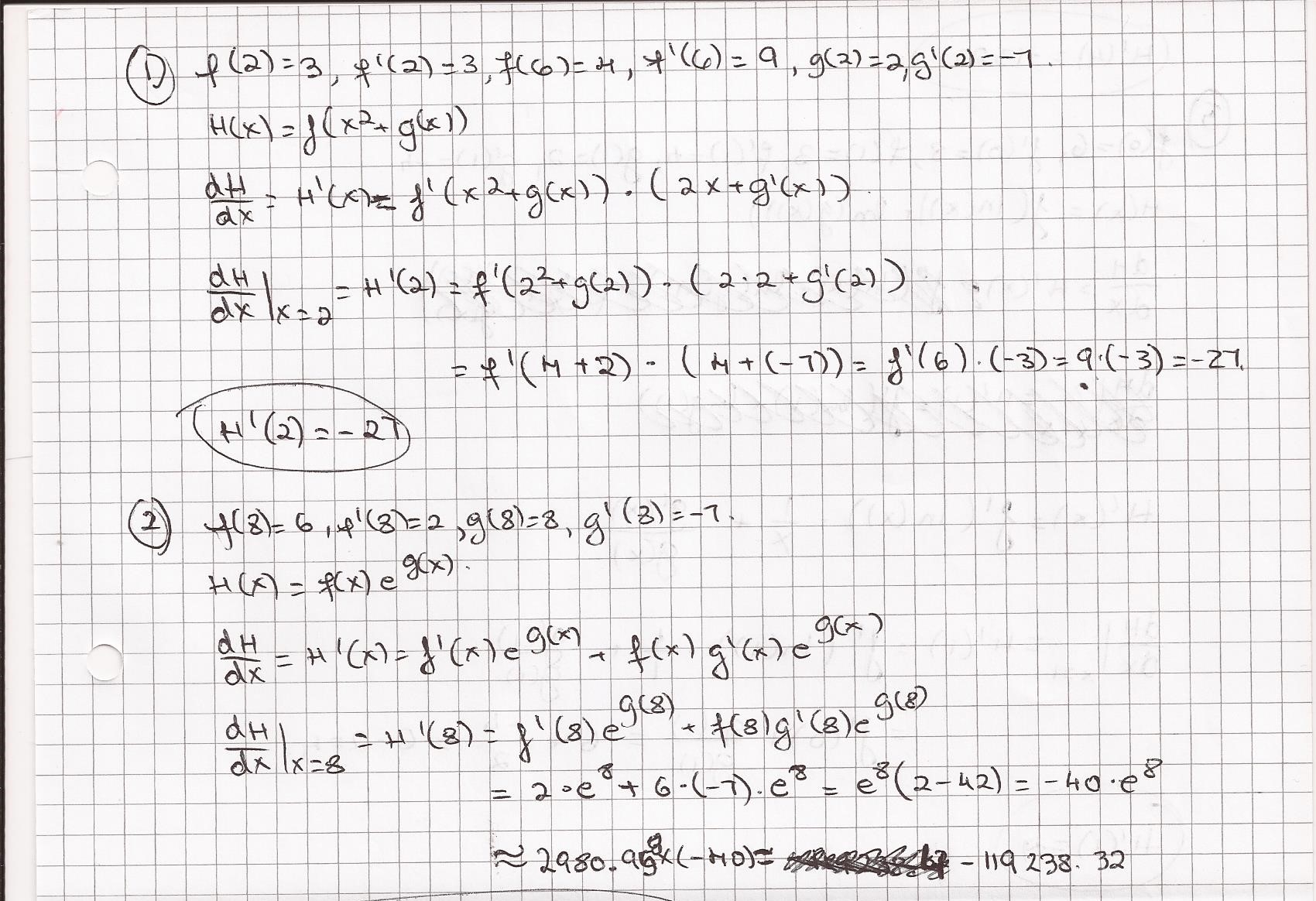
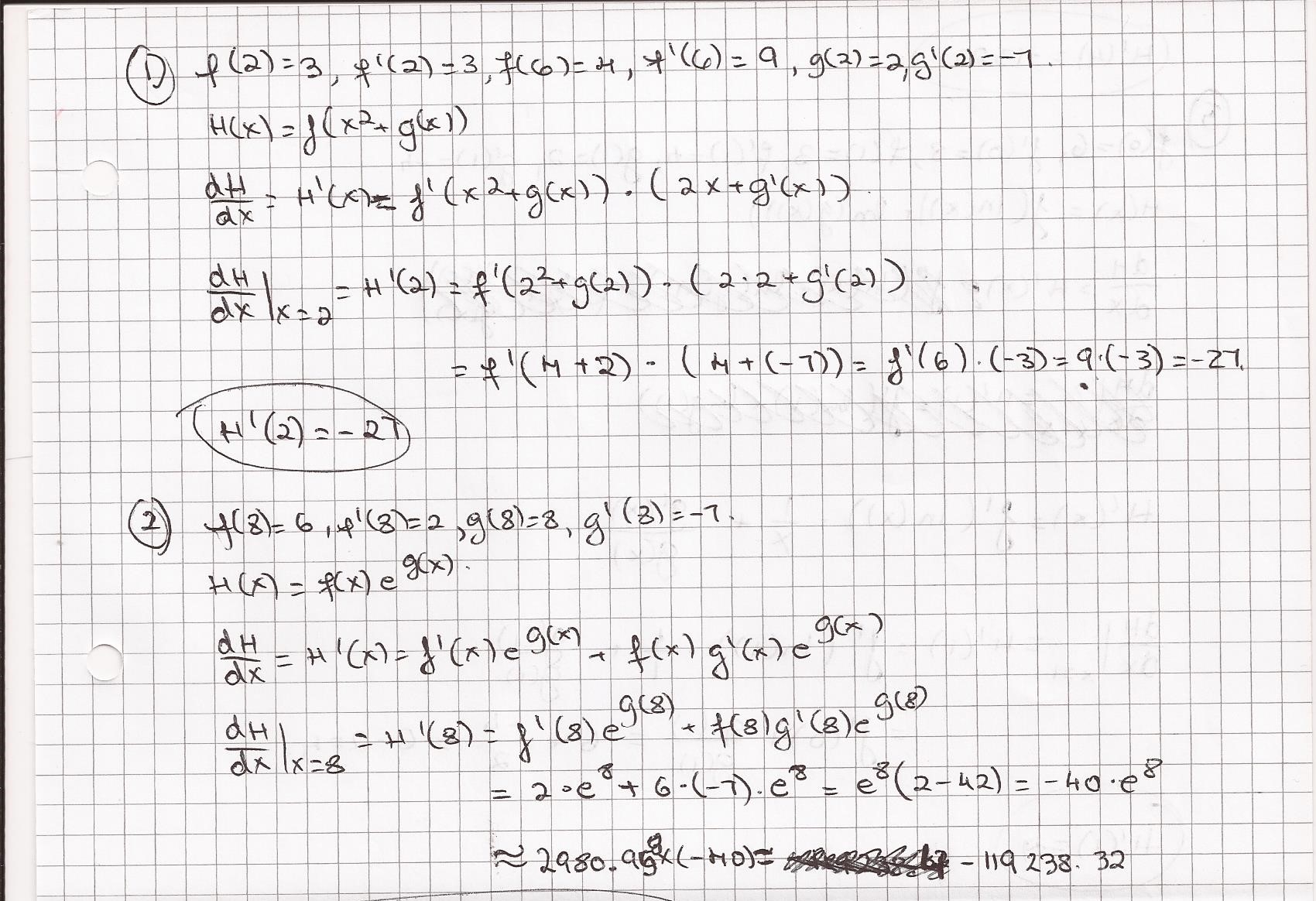
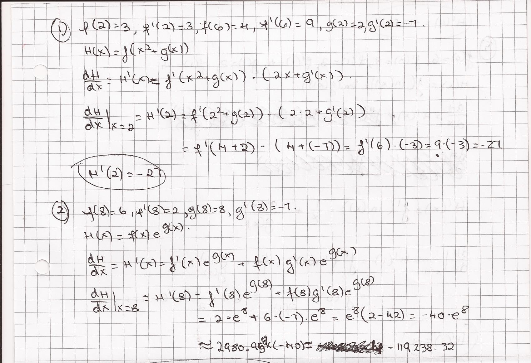
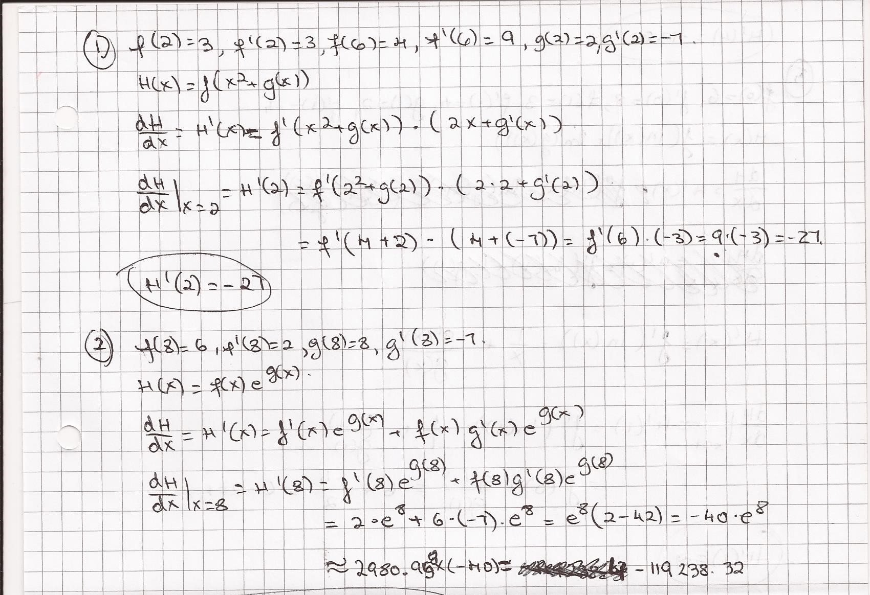
(1 pt) = - H(x=f(x²+ g(x)). Find art dH L H' (2) = (1 pt) Su...
(1 pt) = - H(x=f(x²+ g(x)). Find art dH L H' (2) = (1 pt) Supp...