Subjects
Online Tutoring
Homework Help
Homework Library
Tutors
Online Classes
More
Bookstore
Blog
Technical Tips
FAQ
Contact Us
Get Help Now
Home
Homework Library
Mathematics
Calculus
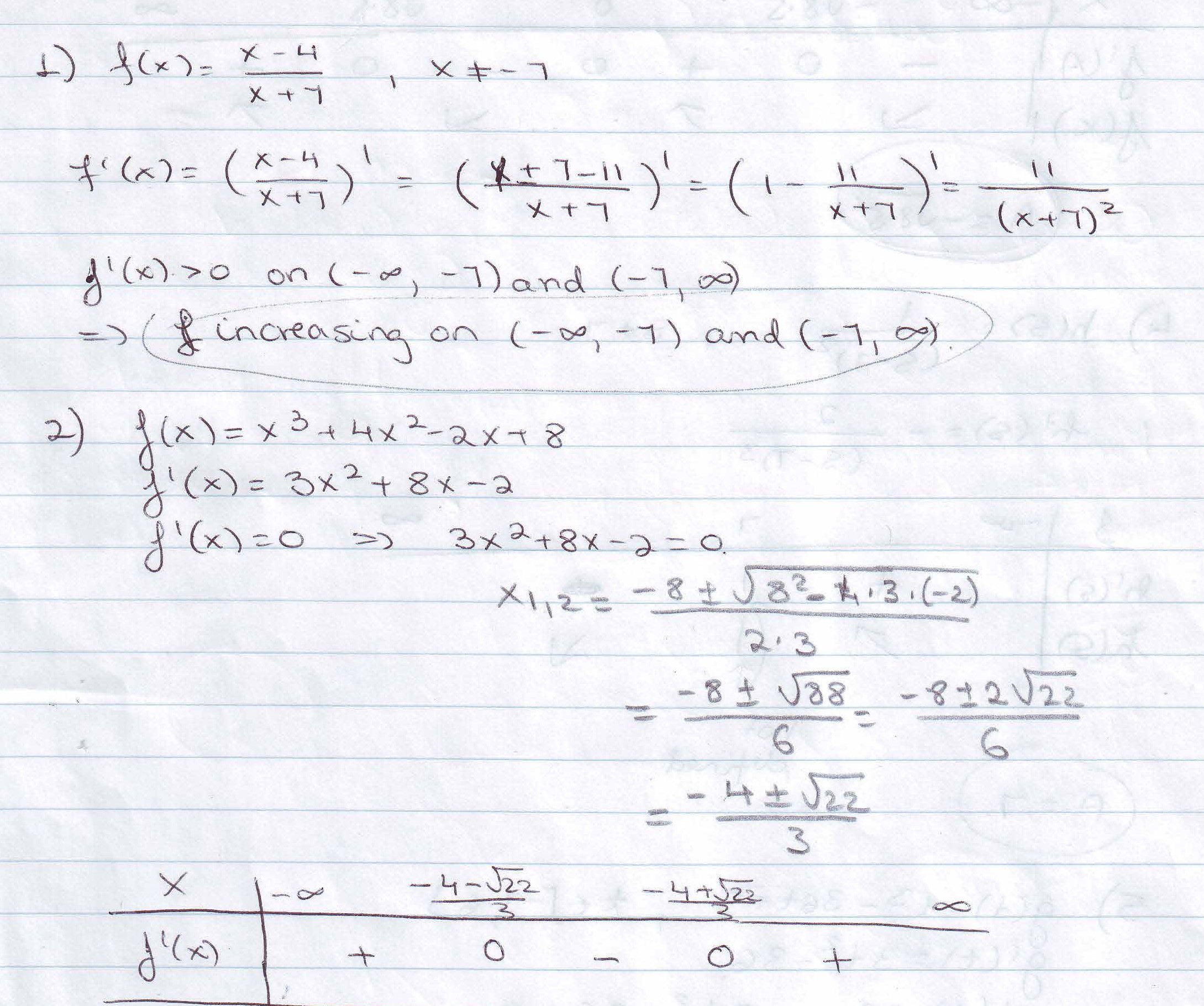
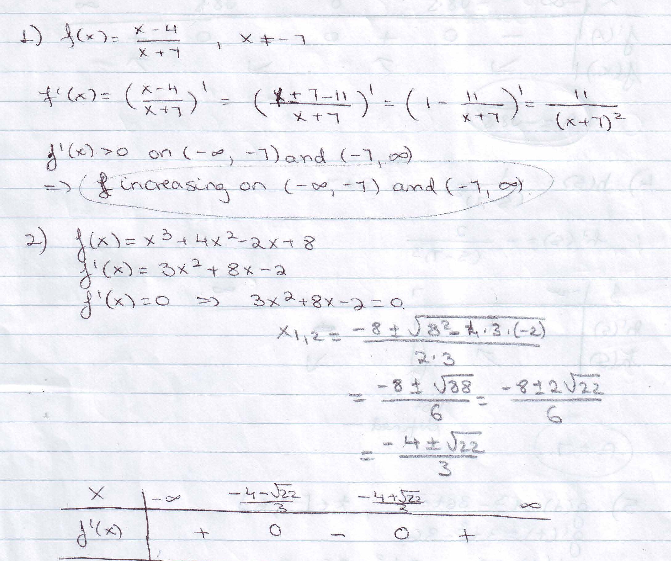
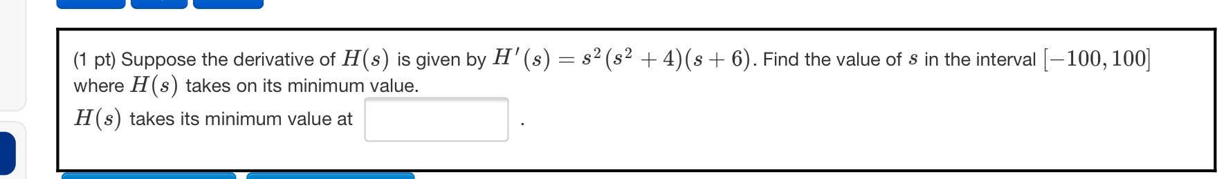
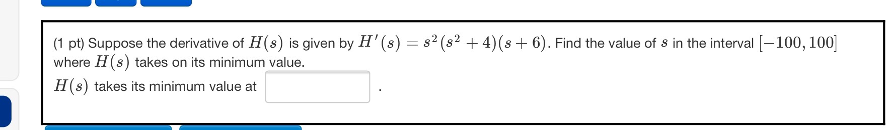
(1 pt) Let 4 x + Find the interval(s) over which f(x) is increas...
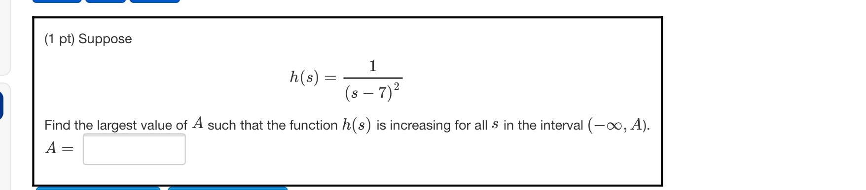
(1 pt) Let 4 x + Find the interval(s) over which f(x) is increas...