Subjects
Online Tutoring
Homework Help
Homework Library
Tutors
Online Classes
More
Bookstore
Blog
Technical Tips
FAQ
Contact Us
Get Help Now
Home
Homework Library
Mathematics
Calculus
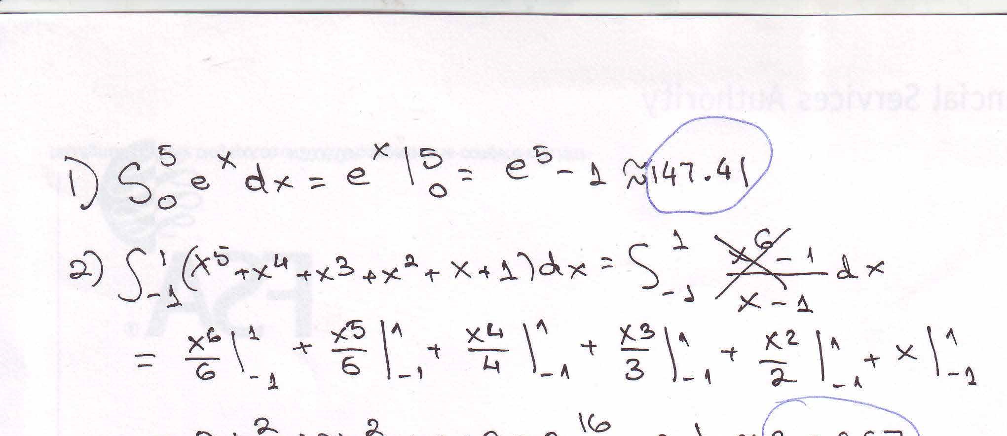
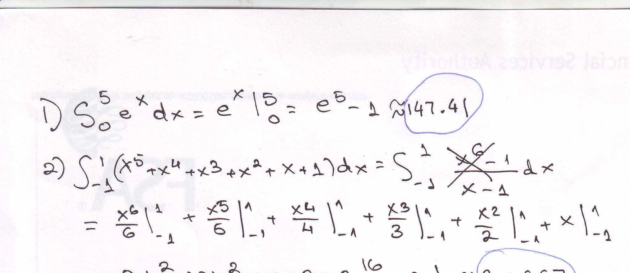
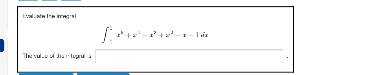
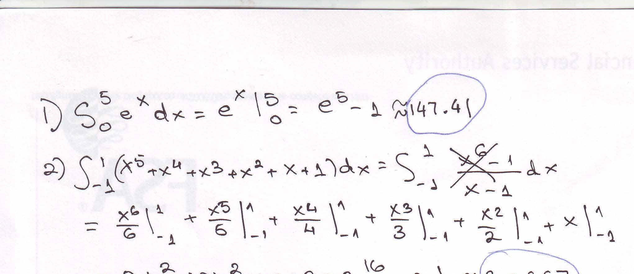
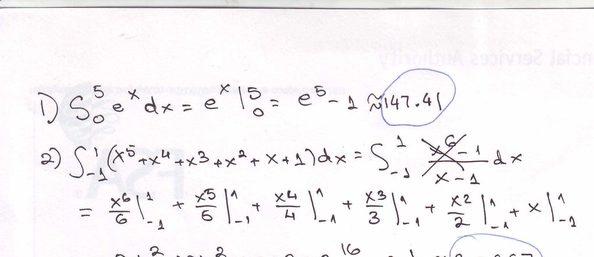
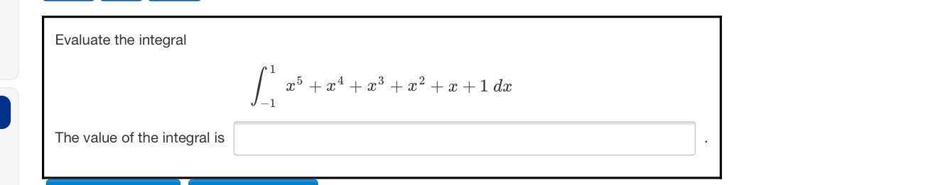
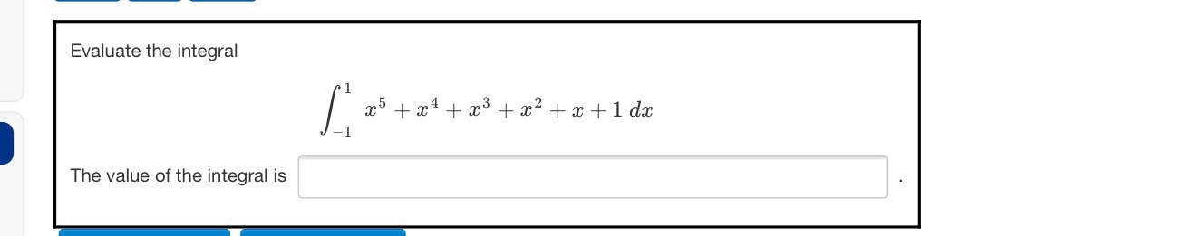
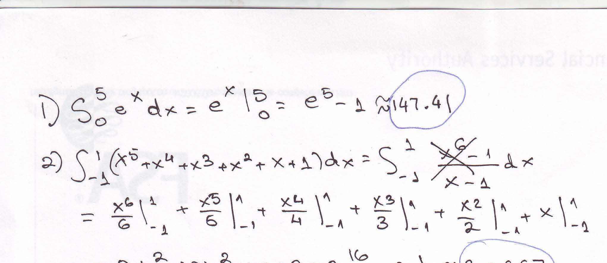
- (1 pt) Evaluate the integral 5 ex dx The value of the integra...
- (1 pt) Evaluate the integral 5 ex dx The value of the integra...