Subjects
Online Tutoring
Homework Help
Homework Library
Tutors
More
Bookstore
Blog
Technical Tips
FAQ
Contact Us
Get Help Now
Home
Homework Library
Mathematics
Calculus
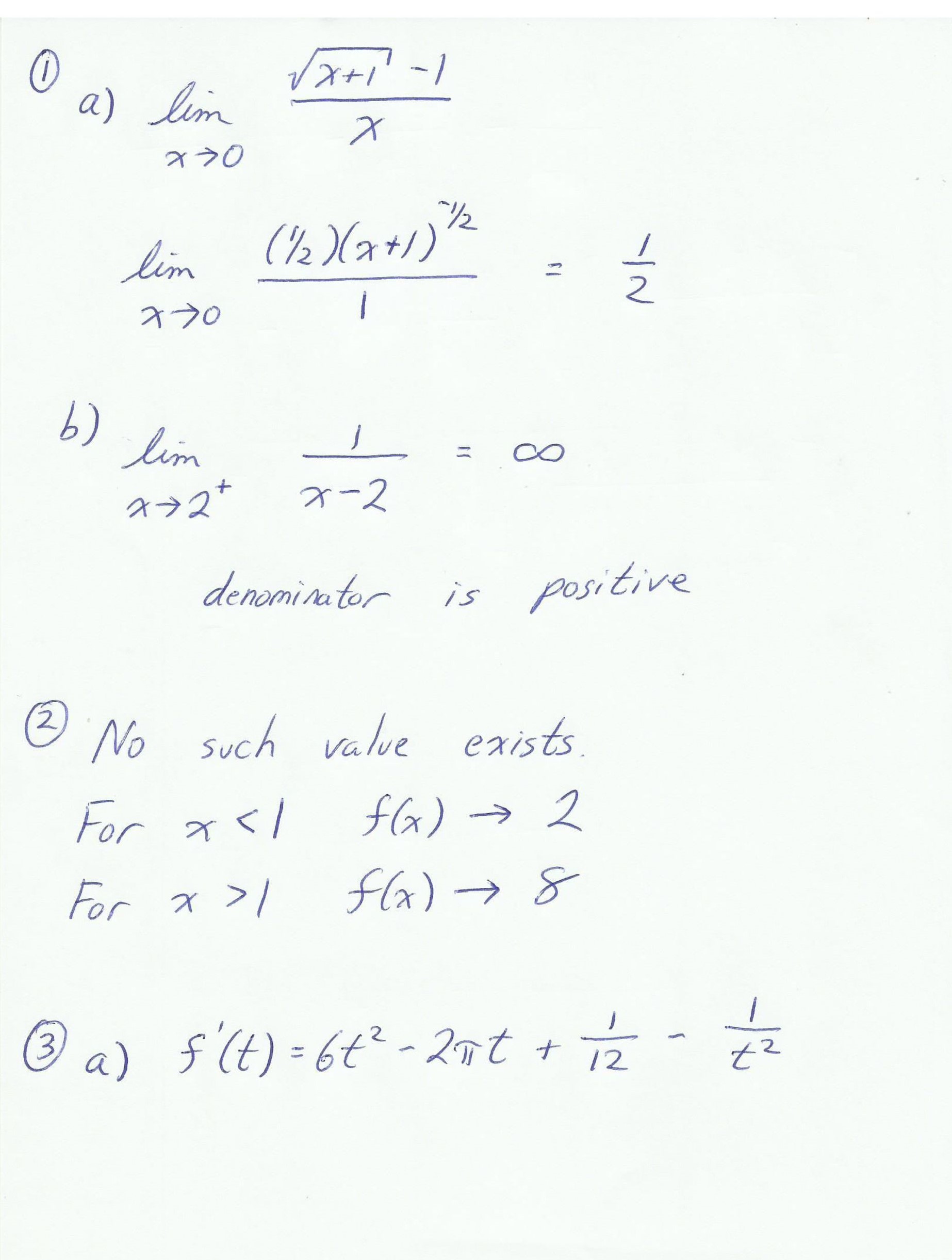
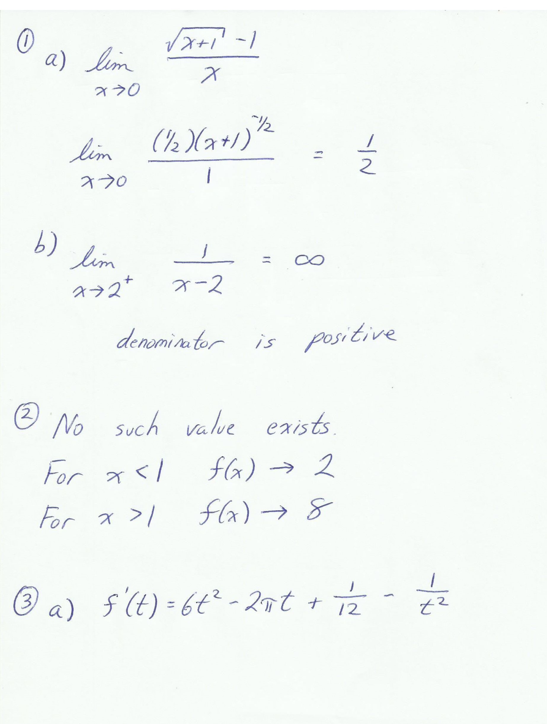
1) Find the following limits. (a) x-0 lim VE+I-1 (b) 12 (2) Let...
1) Find the following limits. (a) x-0 lim VE+I-1 (b) 12 (2) Let...