Subjects
Online Tutoring
Homework Help
Homework Library
Tutors
More
Bookstore
Blog
Technical Tips
FAQ
Contact Us
Get Help Now
Home
Homework Library
Mathematics
Calculus
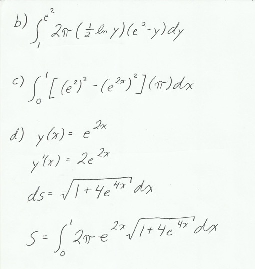
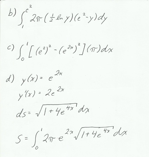
1. Consider the region R in the first quadrant bounded by y = e2x, ...
1. Consider the region R in the first quadrant bounded by y = e2x,...