Subjects
Online Tutoring
Homework Help
Homework Library
Tutors
Online Classes
More
Bookstore
Blog
Technical Tips
FAQ
Contact Us
Get Help Now
Home
Homework Library
Mathematics
Calculus
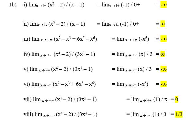
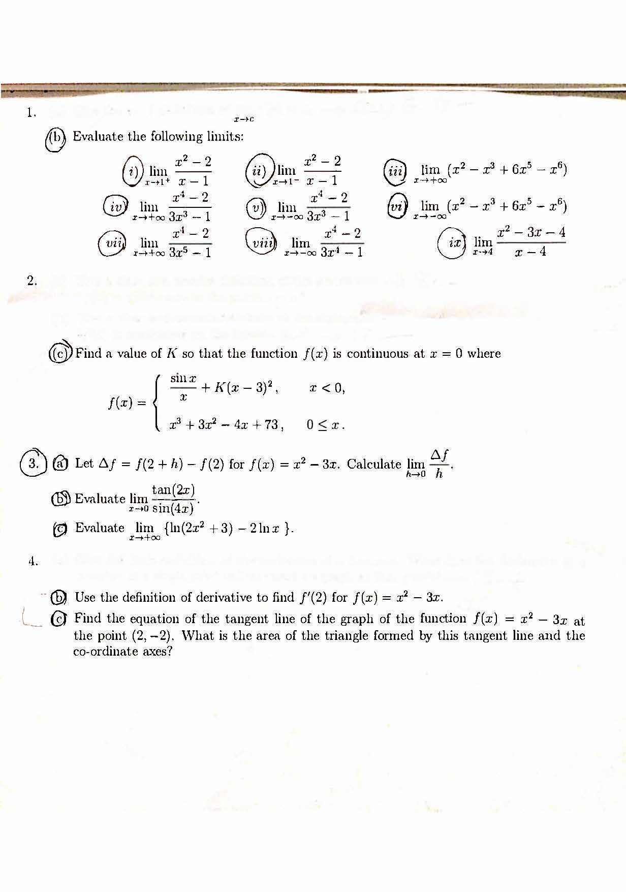
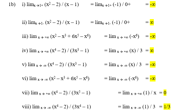
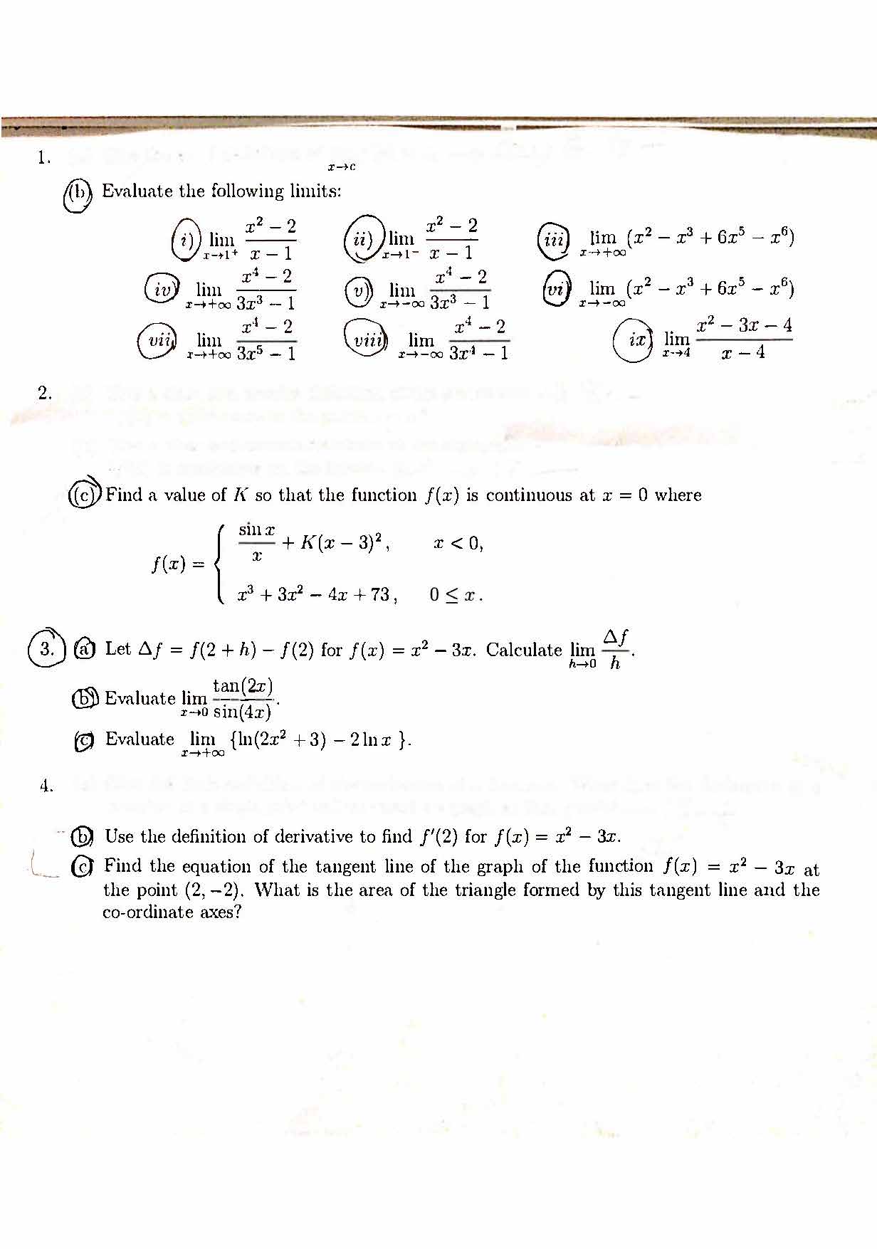
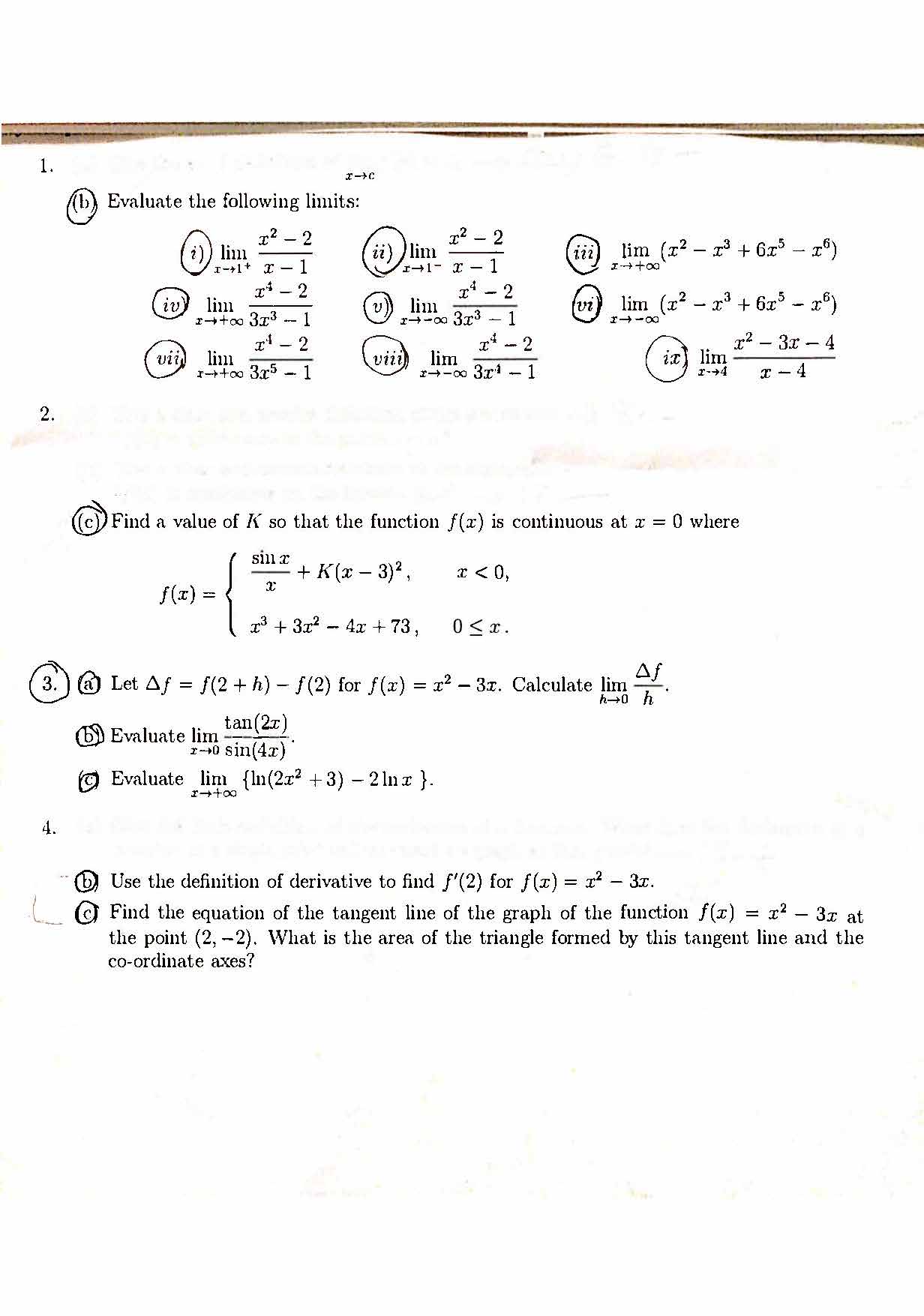
1. b Evaluate the following limits: I2 2 x²-2 i) lim ii) ...
1. b Evaluate the following limits: I2 2 x²-2 i) lim ii) l...