Subjects
Online Tutoring
Homework Help
Homework Library
Tutors
Online Classes
More
Bookstore
Blog
Technical Tips
FAQ
Contact Us
Get Help Now
Home
Homework Library
Mathematics
Calculus
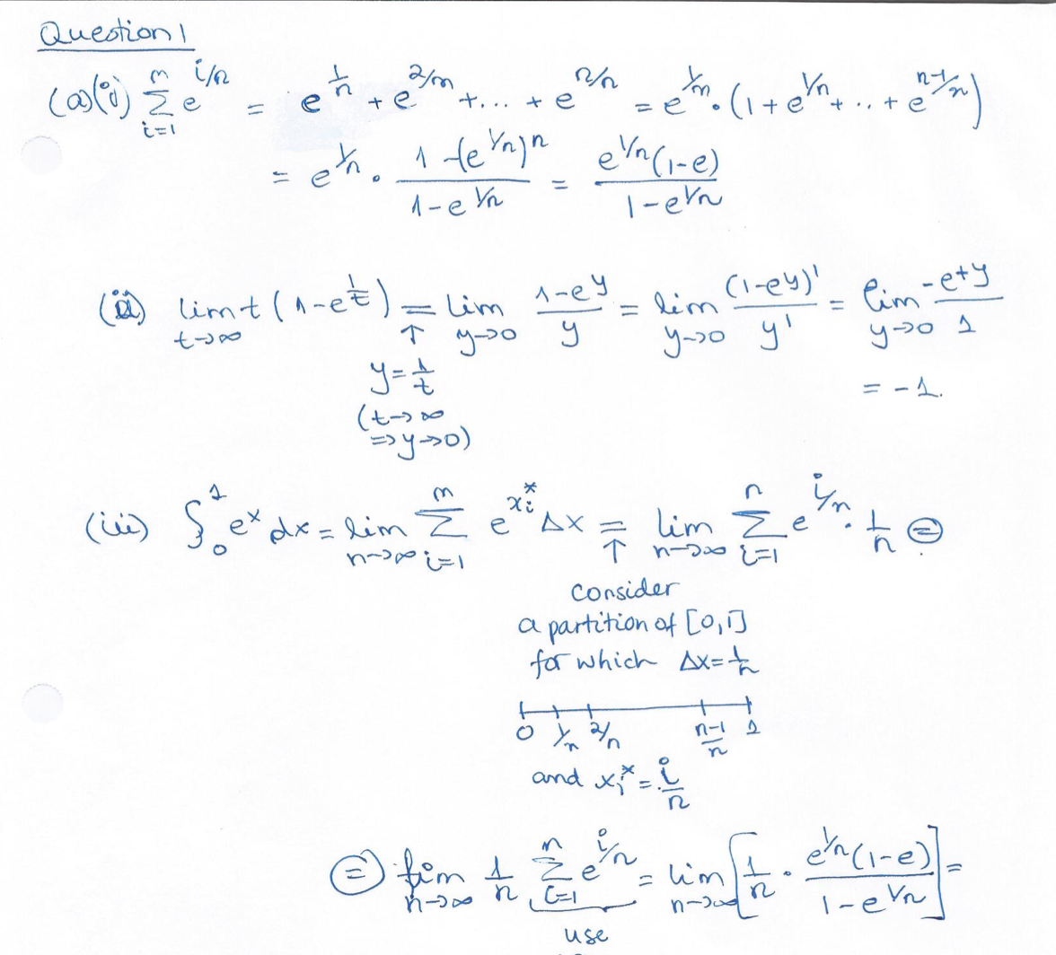
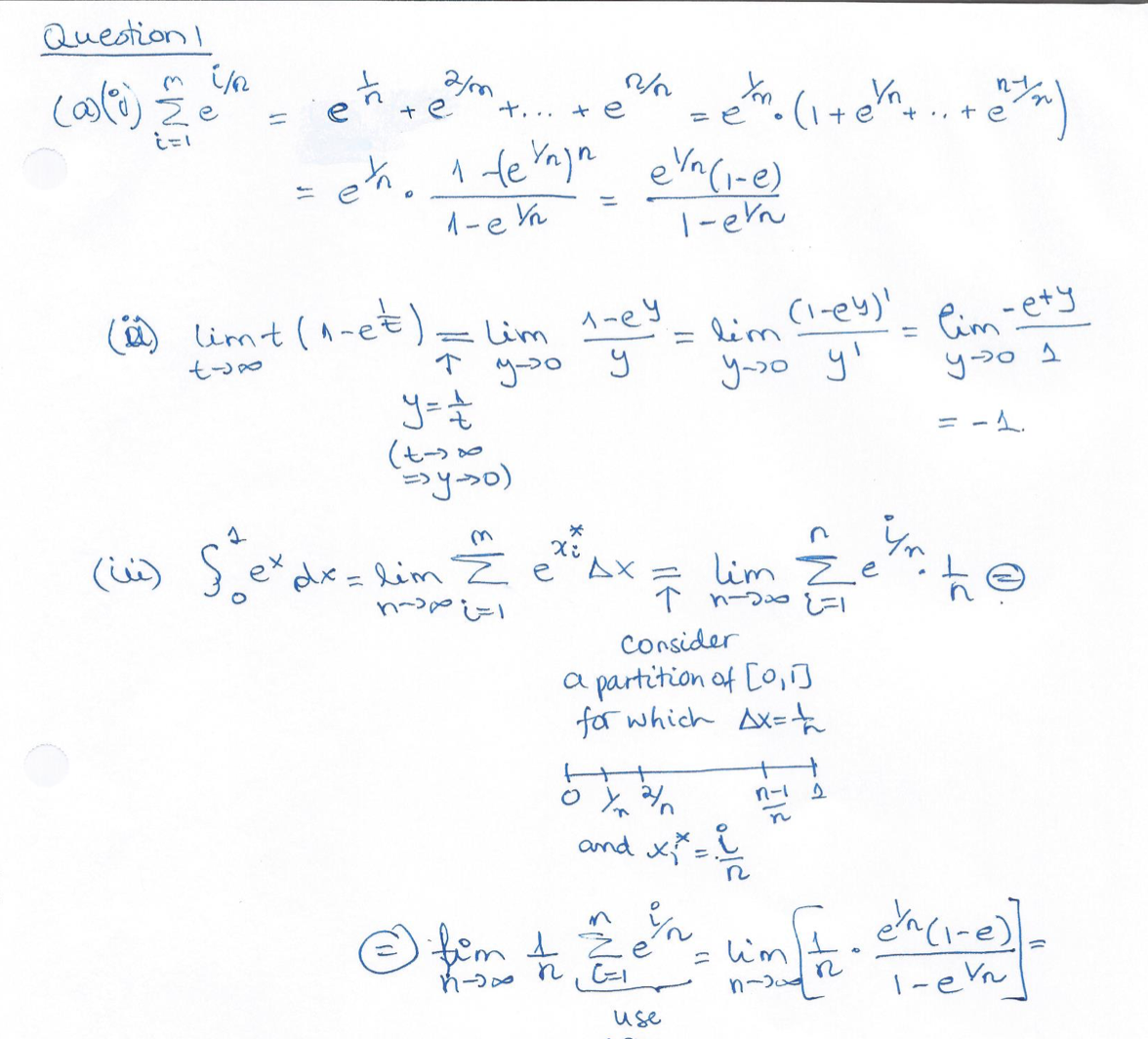
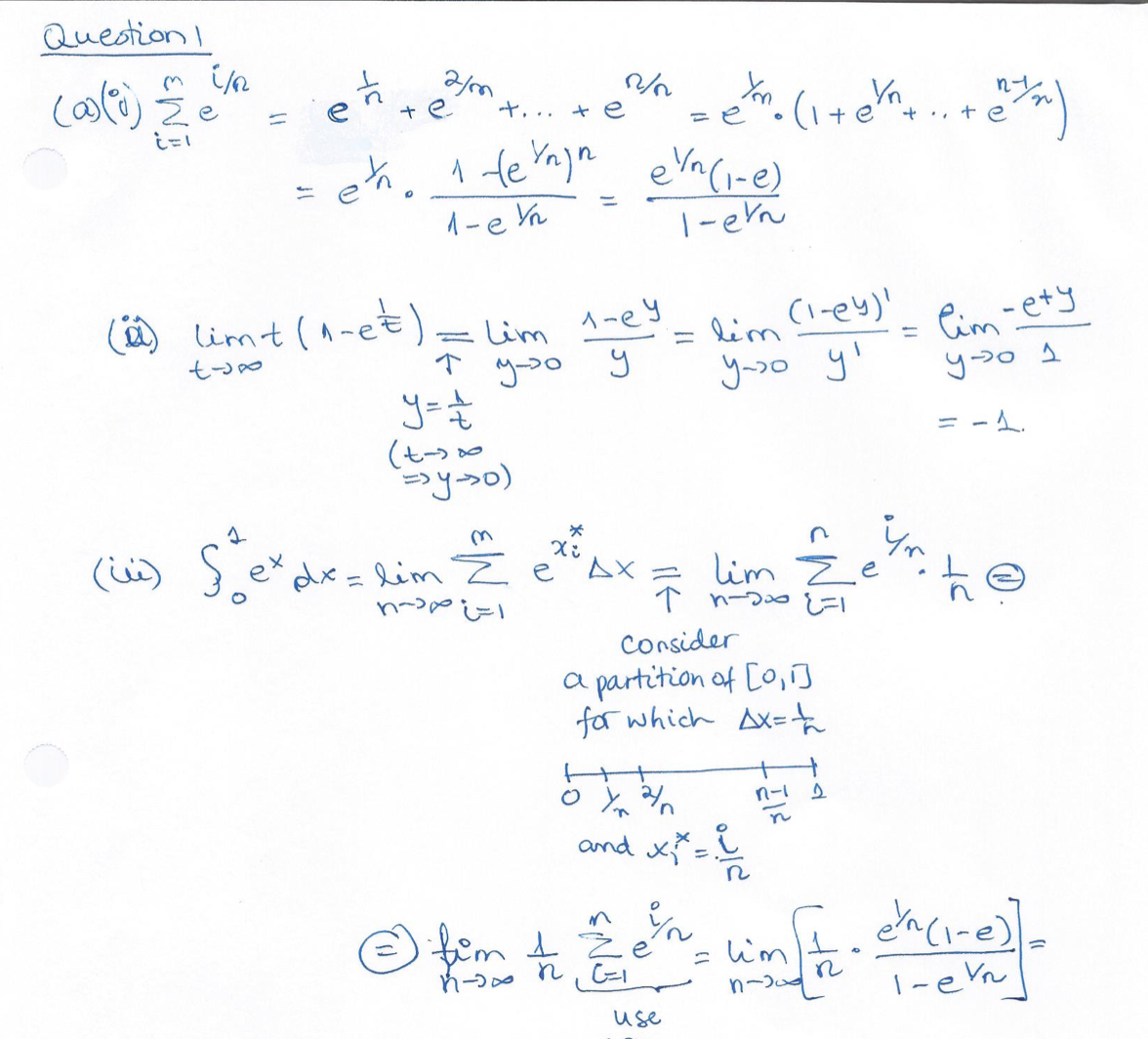
QUESTION 1 [(3+3+8)+(3+3+5)=25marks] (a) (i) Show that . Hint: ...
QUESTION 1 [(3+3+8)+(3+3+5)=25marks] (a) (i) Show that . Hint:...