Subjects
Online Tutoring
Homework Help
Homework Library
Tutors
Online Classes
More
Bookstore
Blog
Technical Tips
FAQ
Contact Us
Get Help Now
Home
Homework Library
Mathematics
Calculus
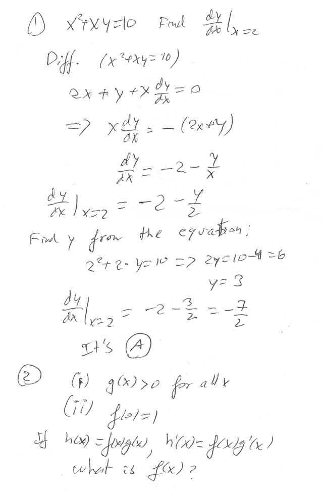
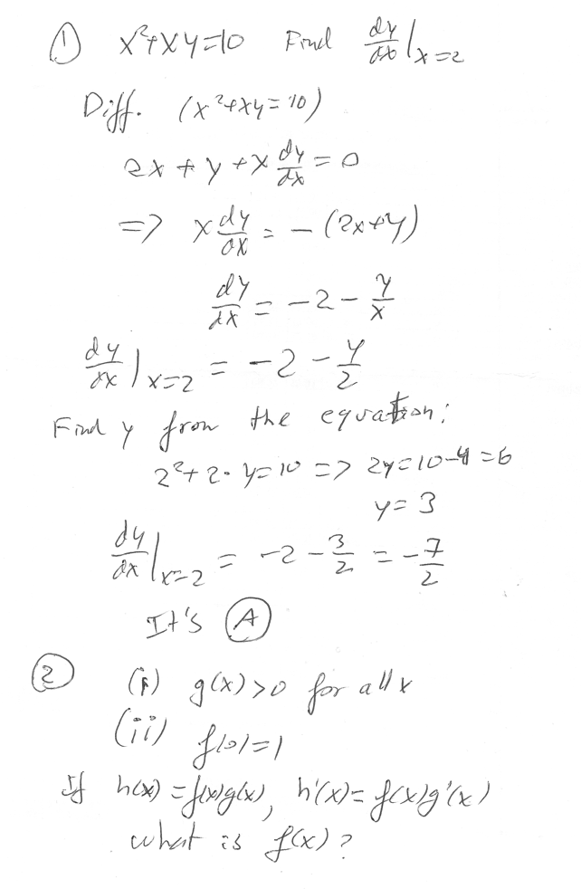
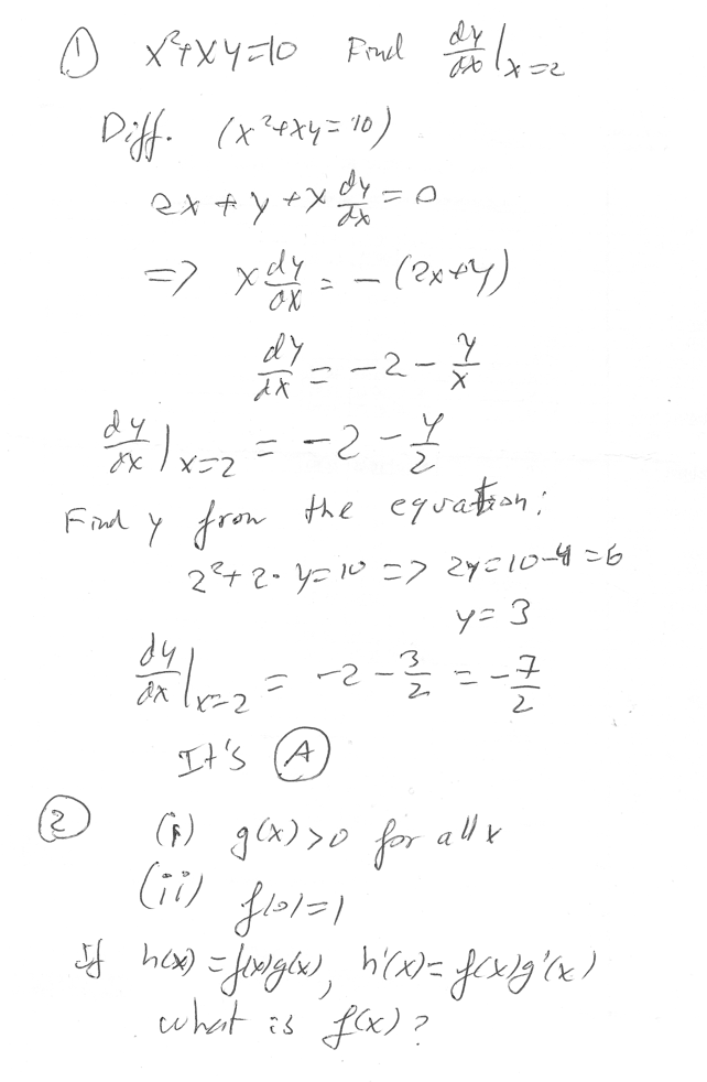
1. If + xy = 10, then when x dx/ (A) (B) -2 (C) (D) (E) 1/ 2/ ...
1. If + xy = 10, then when x dx/ (A) (B) -2 (C) (D) (E) 1/ 2/...