Subjects
Online Tutoring
Homework Help
Homework Library
Tutors
Online Classes
More
Bookstore
Blog
Technical Tips
FAQ
Contact Us
Get Help Now
Home
Homework Library
Mathematics
Calculus
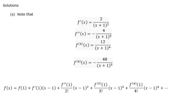
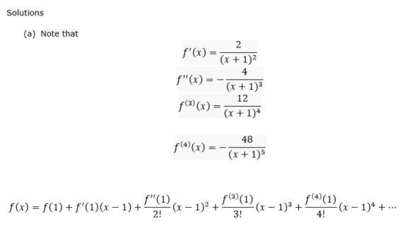
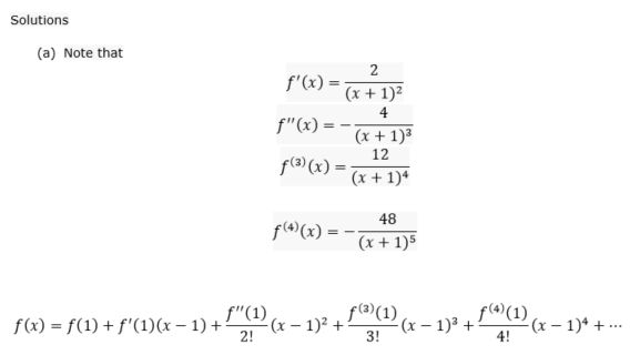
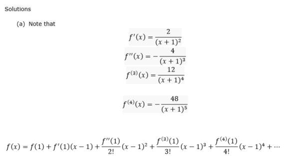
Consider f(x)=(x-1)/(x+1) for all x≠-1. (a) Find Taylor se...
Consider f(x)=(x-1)/(x+1) for all x≠-1. (a) Find Taylor series...