Subjects
Online Tutoring
Homework Help
Homework Library
Tutors
Online Classes
More
Bookstore
Blog
Technical Tips
FAQ
Contact Us
Get Help Now
Home
Homework Library
Mathematics
Calculus
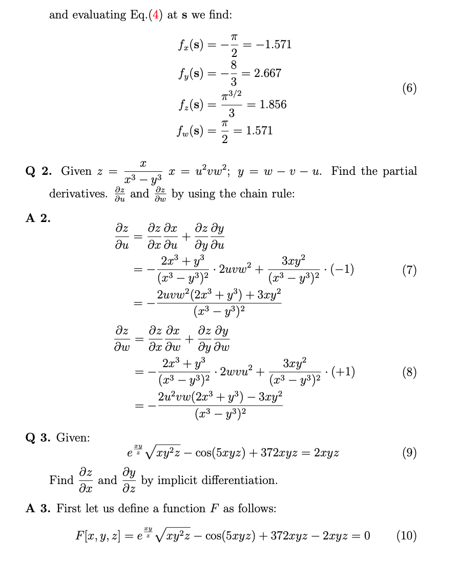
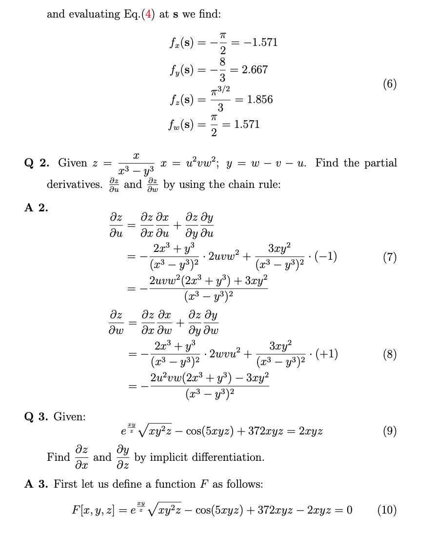
Q 1. Given f(x,y,2,w) = 2 cos(xrt tan(z²)) + w2 (1) Find TT ...
Q 1. Given f(x,y,2,w) = 2 cos(xrt tan(z²)) + w2 (1) Find TT T...