Subjects
Online Tutoring
Homework Help
Homework Library
Tutors
Online Classes
More
Bookstore
Blog
Technical Tips
FAQ
Contact Us
Get Help Now
Home
Homework Library
Mathematics
Calculus
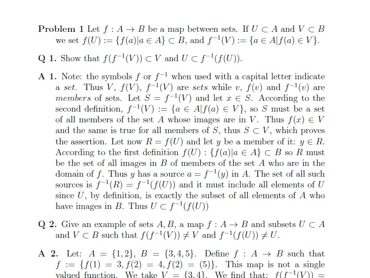
Problem 1. B be a map between sets. set f(U): {f(a)/a A} CB and 1...
Problem 1. B be a map between sets. set f(U): {f(a)/a A} CB and 1...