Subjects
Online Tutoring
Homework Help
Homework Library
Tutors
Online Classes
More
Bookstore
Blog
Technical Tips
FAQ
Contact Us
Get Help Now
Home
Homework Library
Mathematics
Calculus
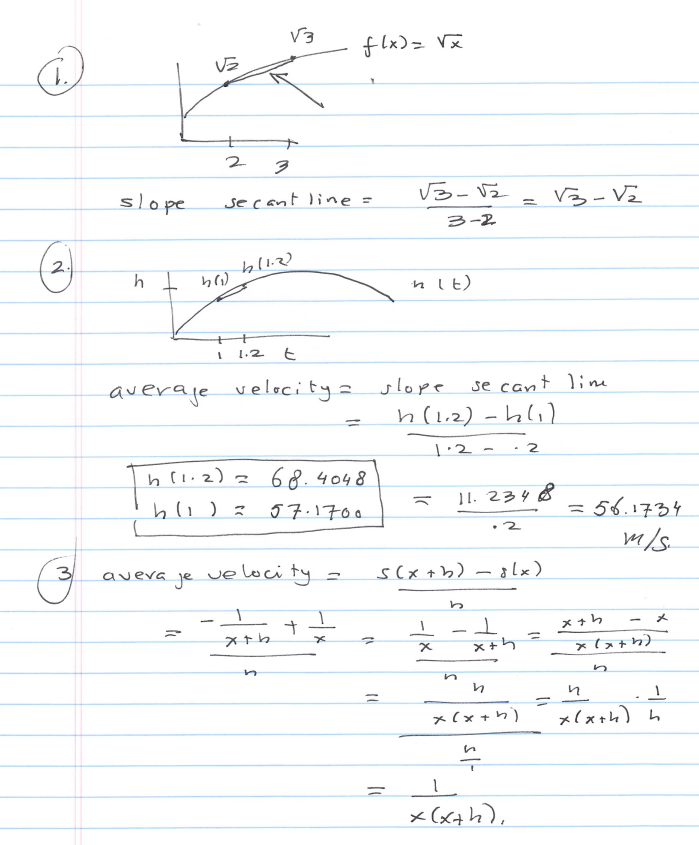
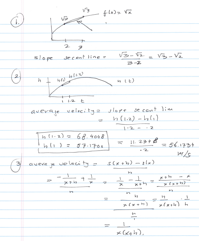
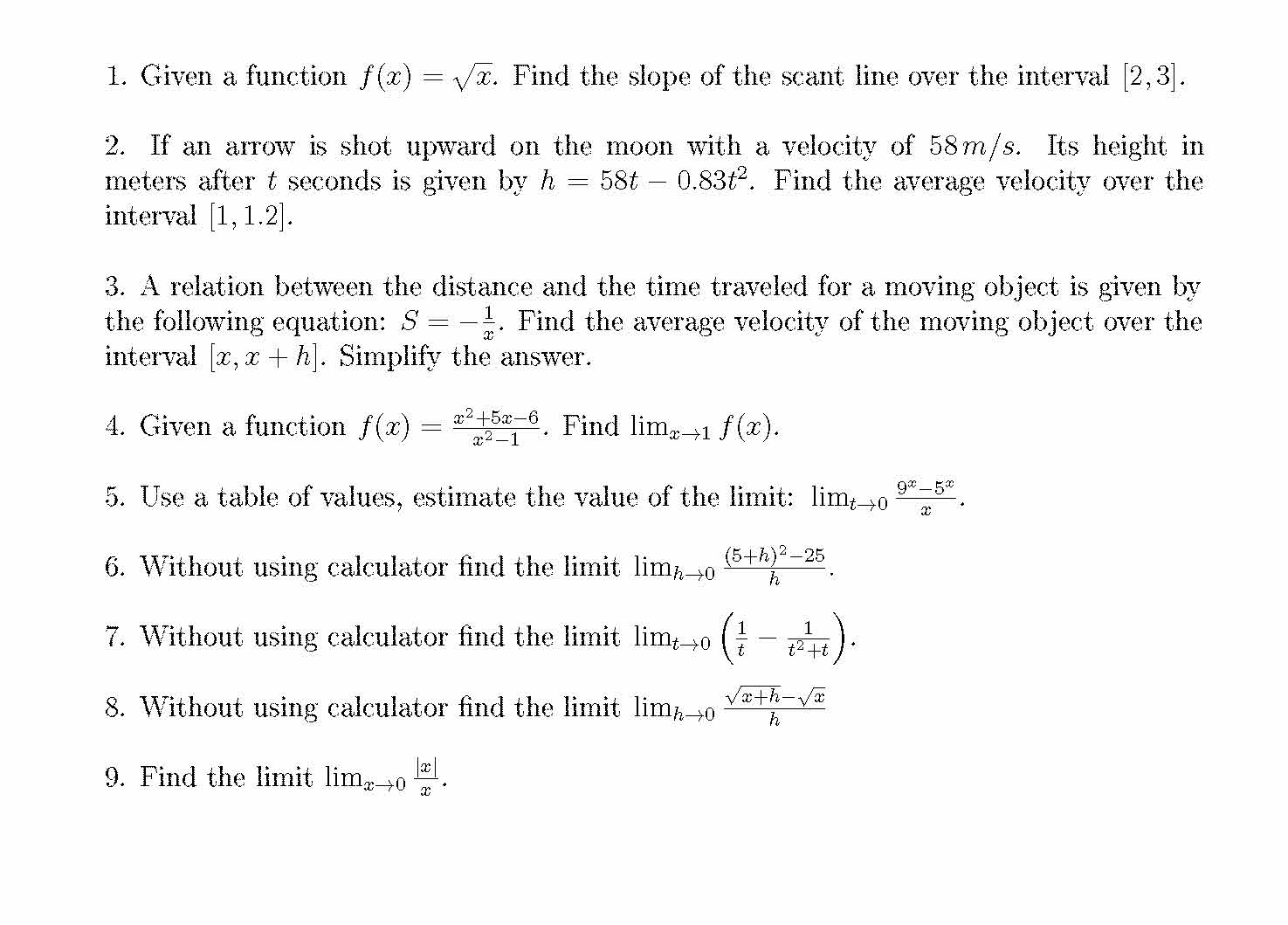
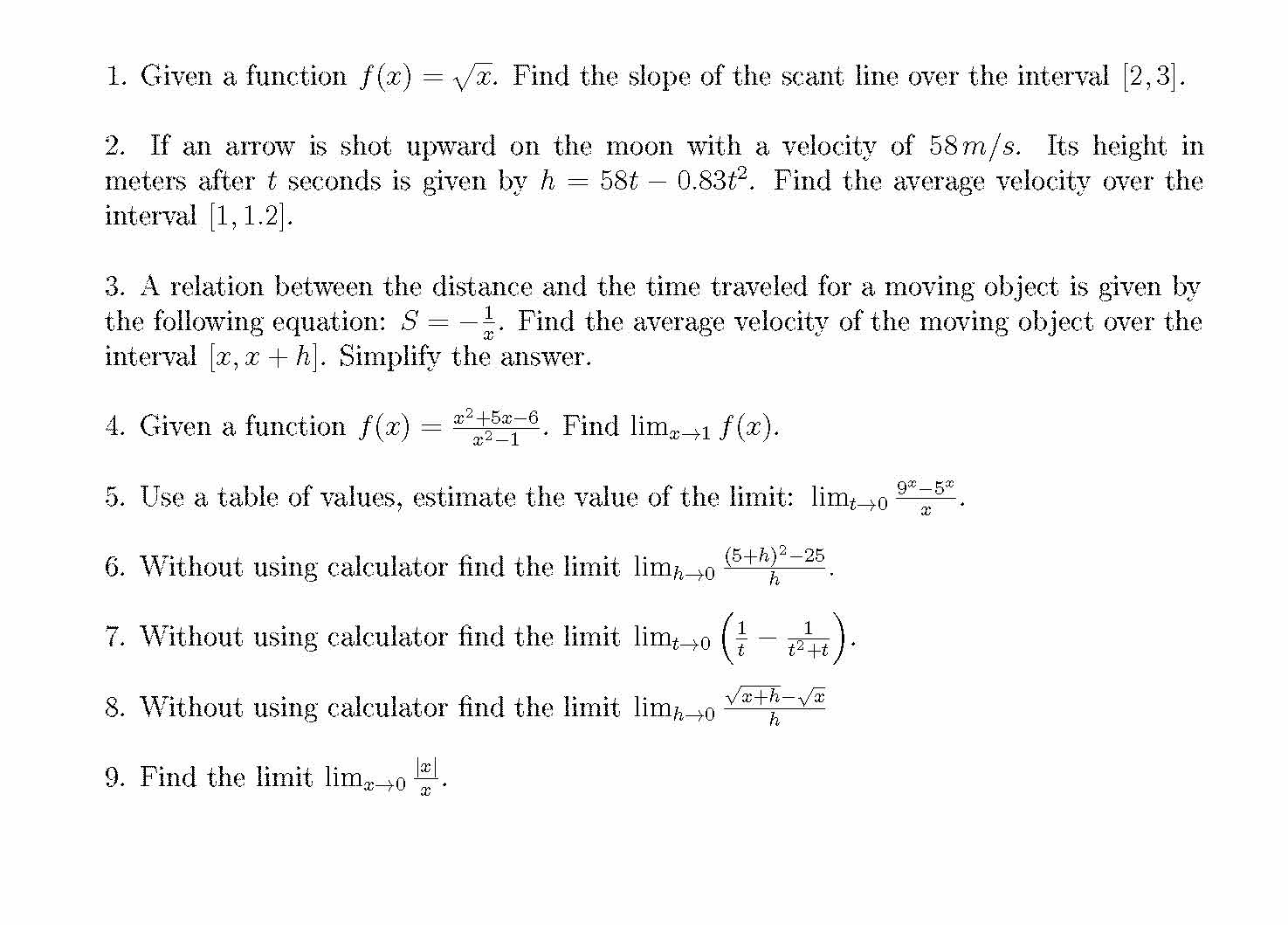
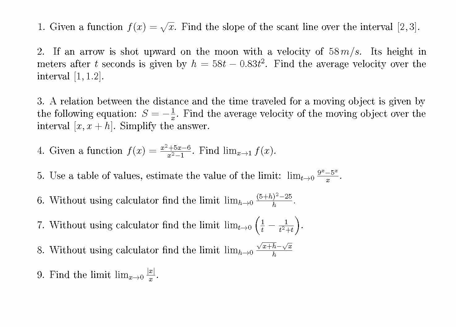
1. Given a function f(x) = p x. Find the slope of the scant line ...
1. Given a function f(x) = p x. Find the slope of the scant line...