Subjects
Online Tutoring
Homework Help
Homework Library
Tutors
Online Classes
More
Bookstore
Blog
Technical Tips
FAQ
Contact Us
Get Help Now
Home
Homework Library
Mathematics
Calculus
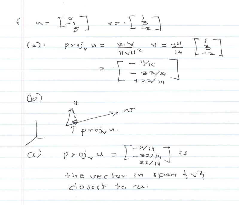
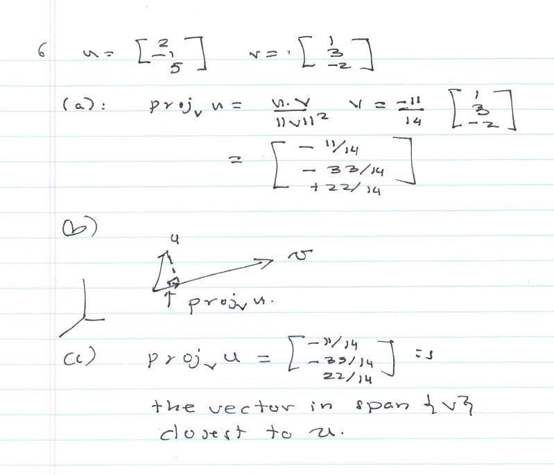
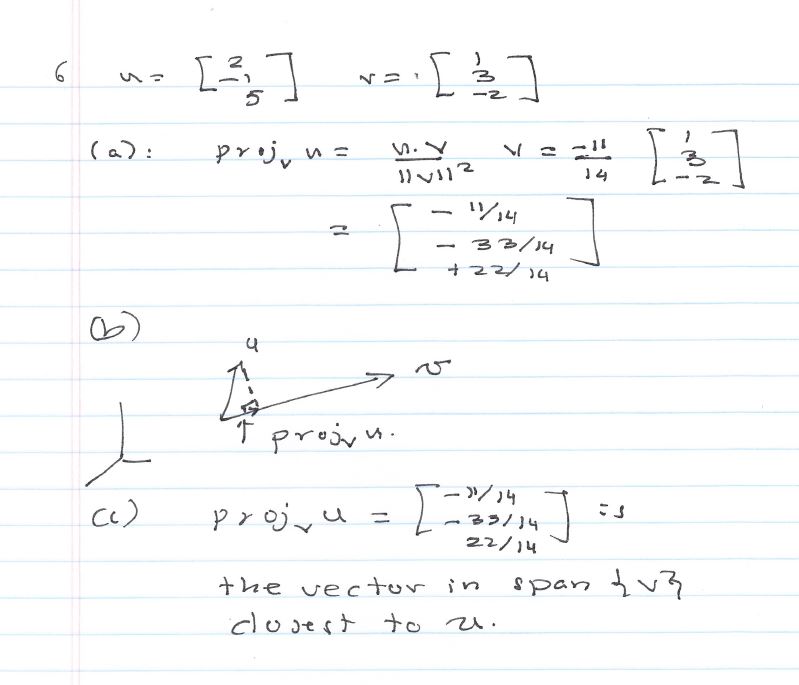
6. Let u = 2 4 2 ô€€€1 5 3 5 and v = 2 4 1 3 ô€€€2 3...