Subjects
Online Tutoring
Homework Help
Homework Library
Tutors
Online Classes
More
Bookstore
Blog
Technical Tips
FAQ
Contact Us
Get Help Now
Home
Homework Library
Mathematics
Calculus
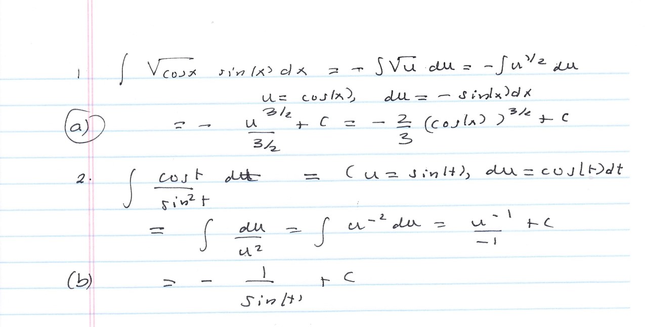
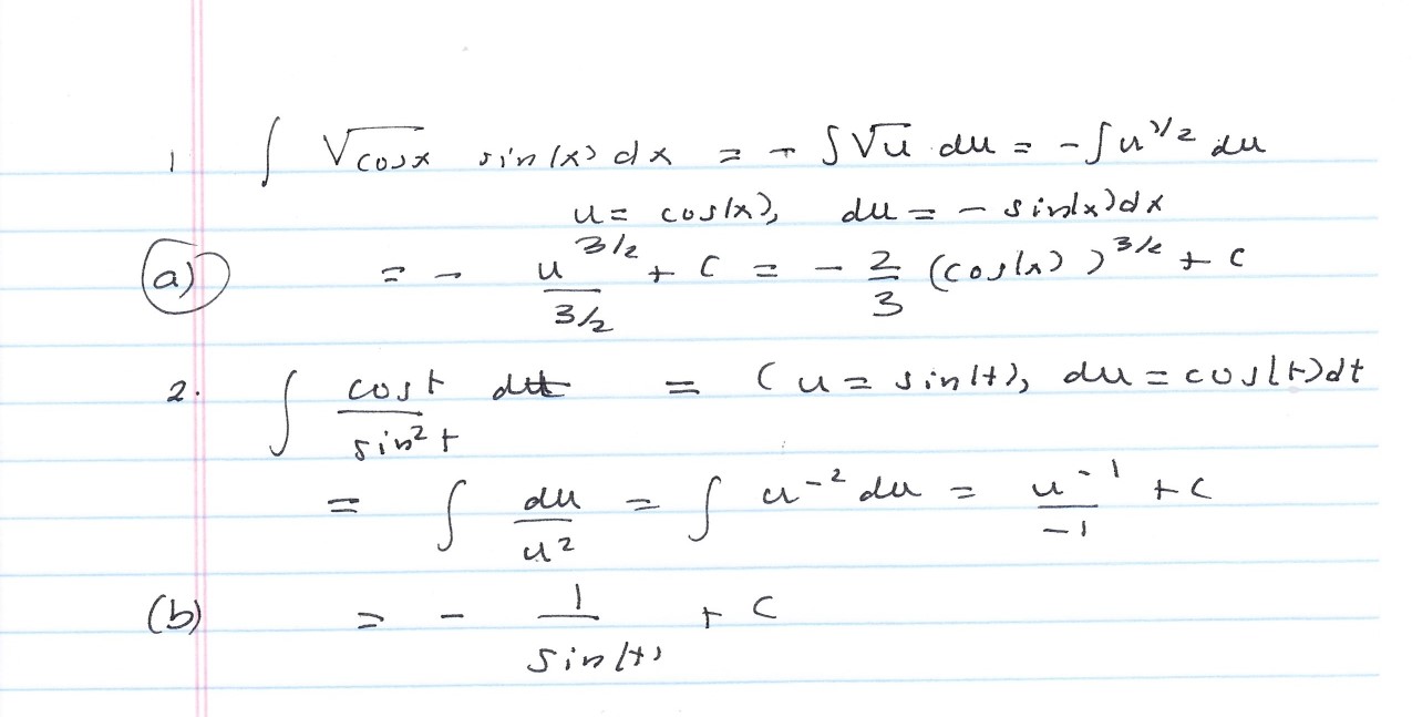
1. / cos r sin x dx (a) (b) (d) 2. (a) 21n|sint|+C (c) (b) ...
1. / cos r sin x dx (a) (b) (d) 2. (a) 21n|sint|+C (c) (b)...