Subjects
Online Tutoring
Homework Help
Homework Library
Tutors
Online Classes
More
Bookstore
Blog
Technical Tips
FAQ
Contact Us
Get Help Now
Home
Homework Library
Mathematics
Calculus
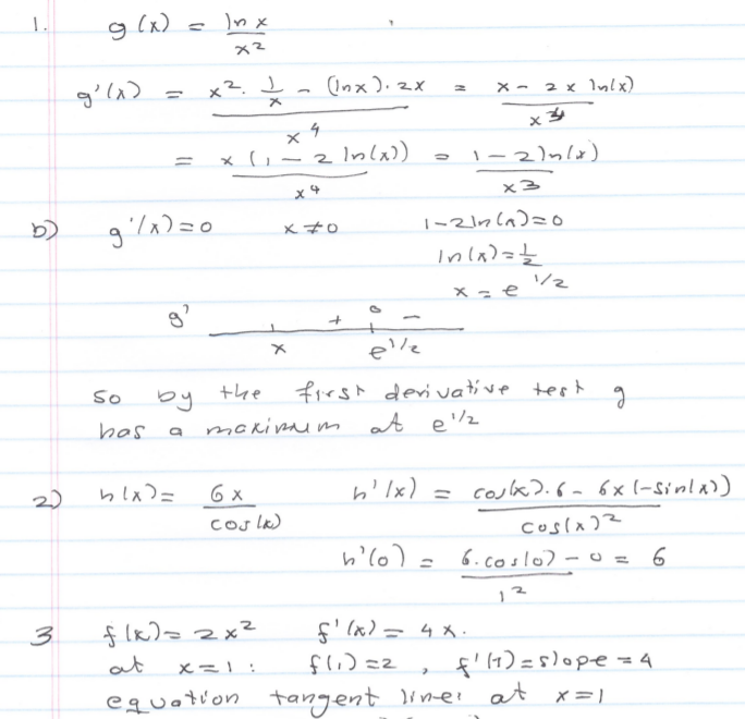
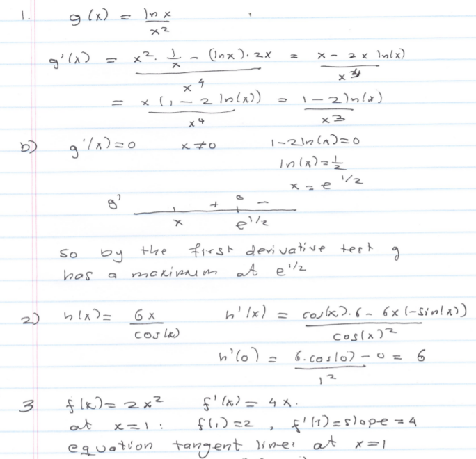
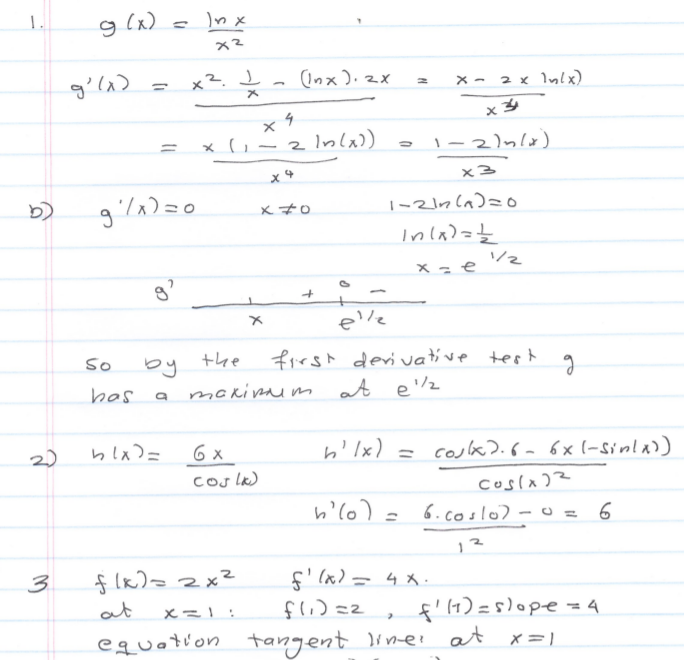
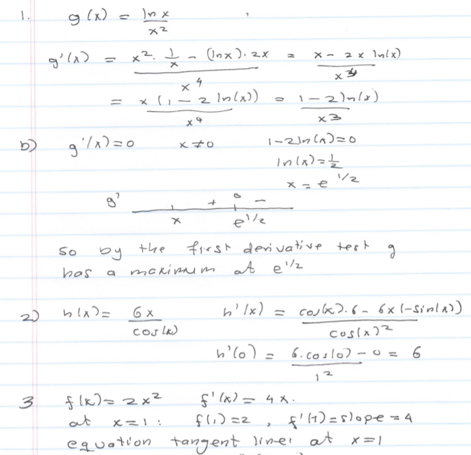
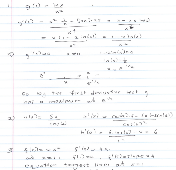
In.x 1. Let g(x)= (a) Use the quotient rule to show that g'(x)=...
In.x 1. Let g(x)= (a) Use the quotient rule to show that g'(x)=...