Subjects
Online Tutoring
Homework Help
Homework Library
Tutors
Online Classes
More
Bookstore
Blog
Technical Tips
FAQ
Contact Us
Get Help Now
Home
Homework Library
Mathematics
Calculus
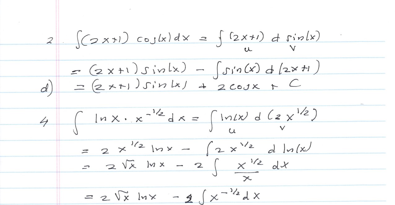
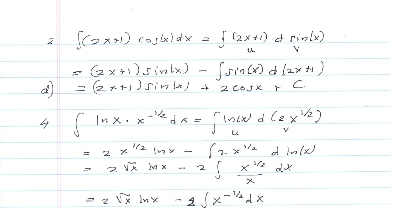
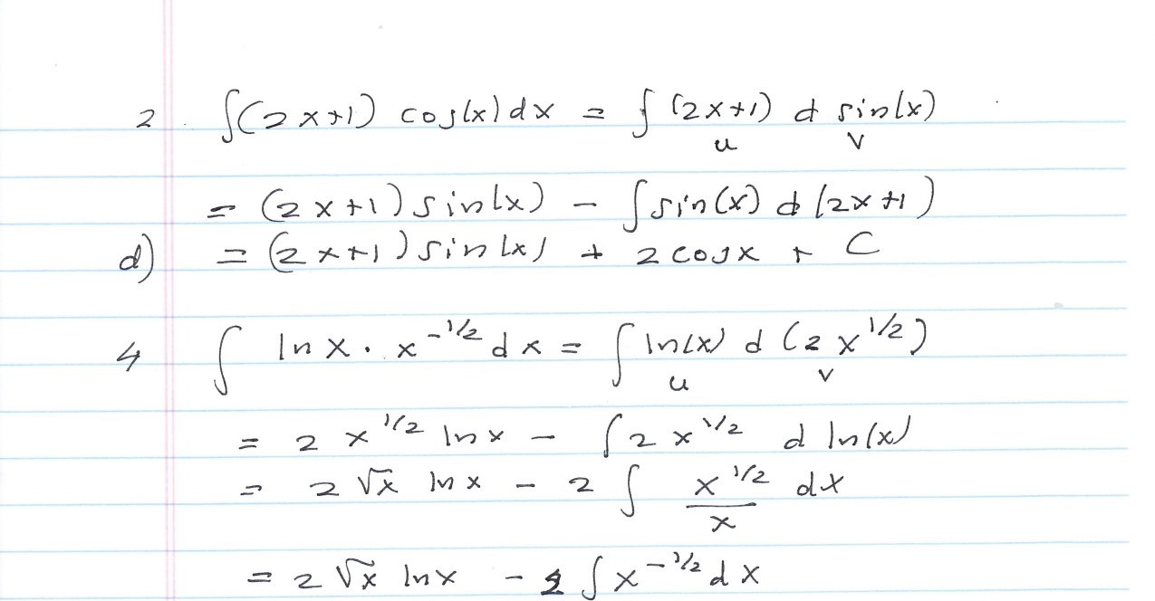
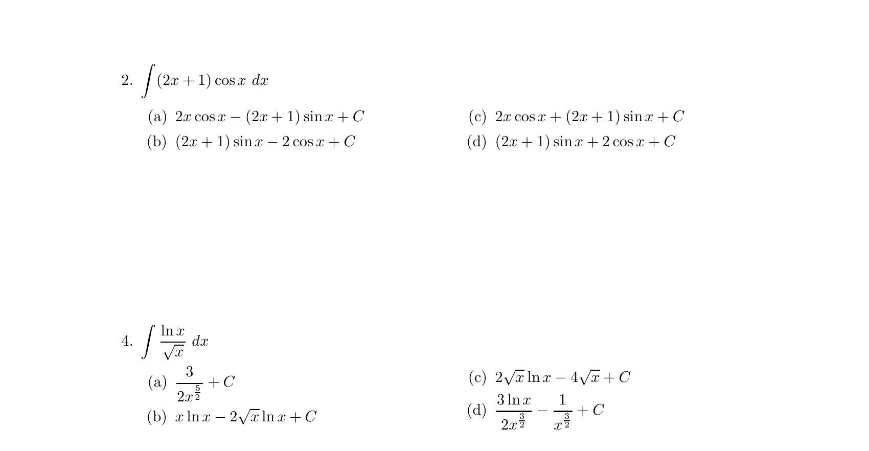
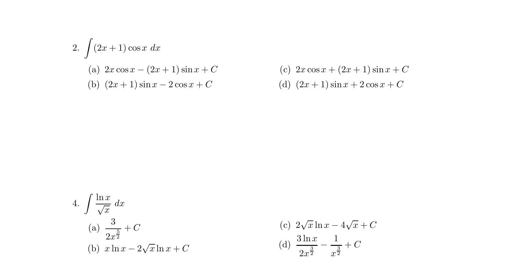
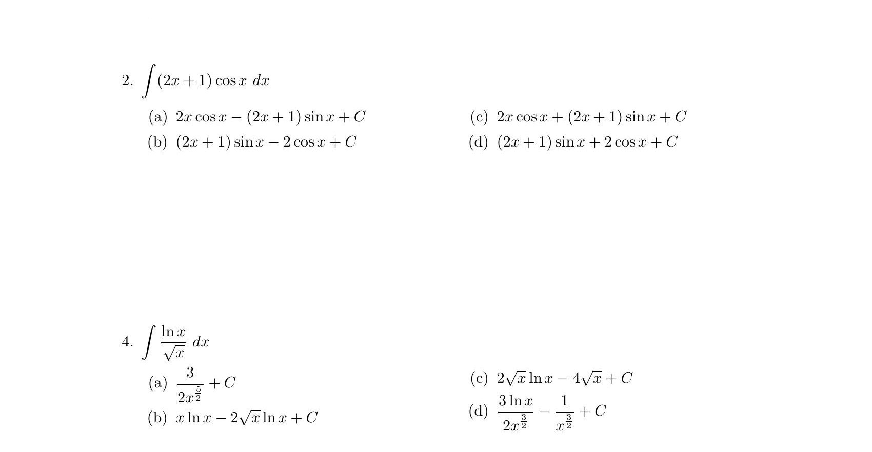
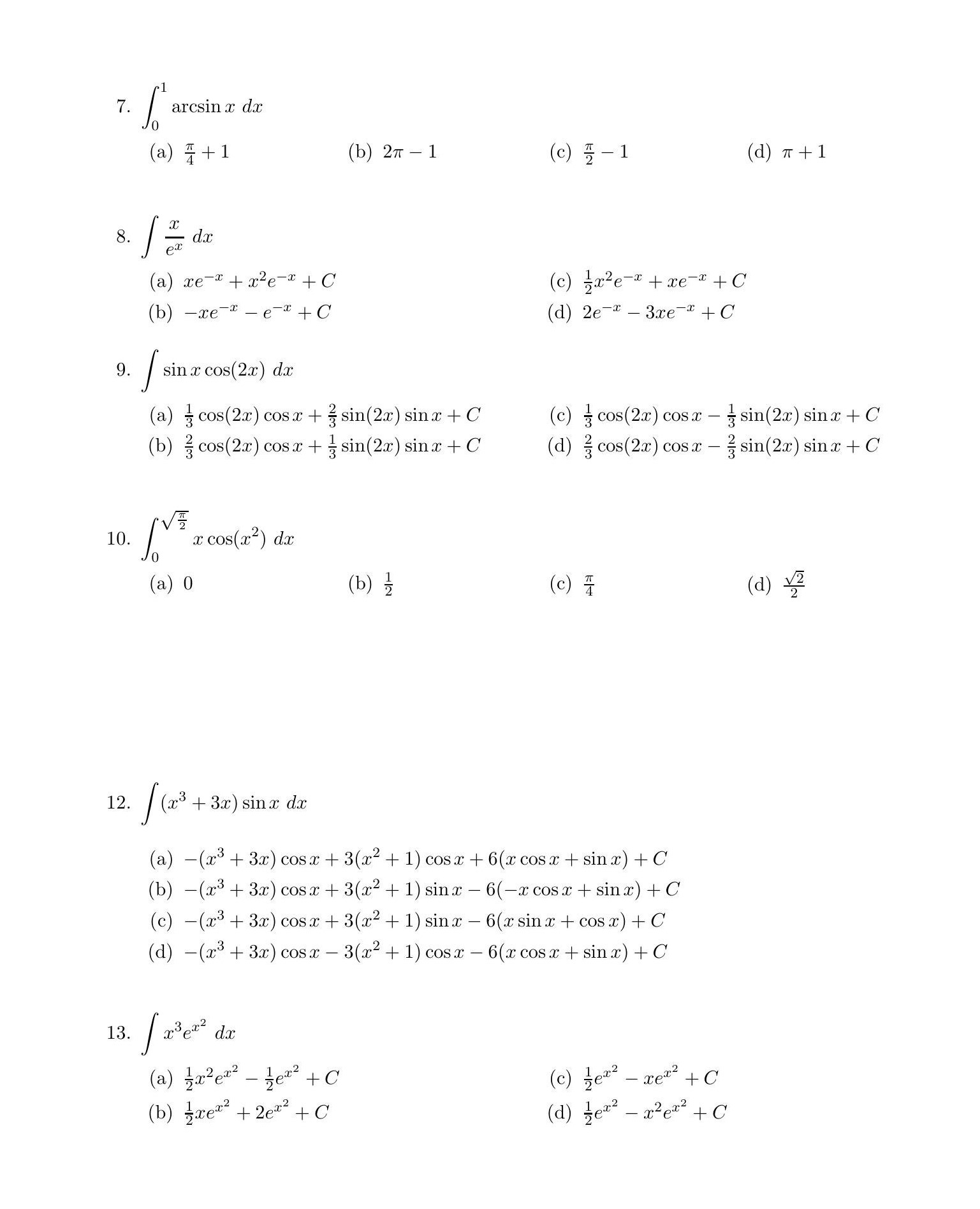
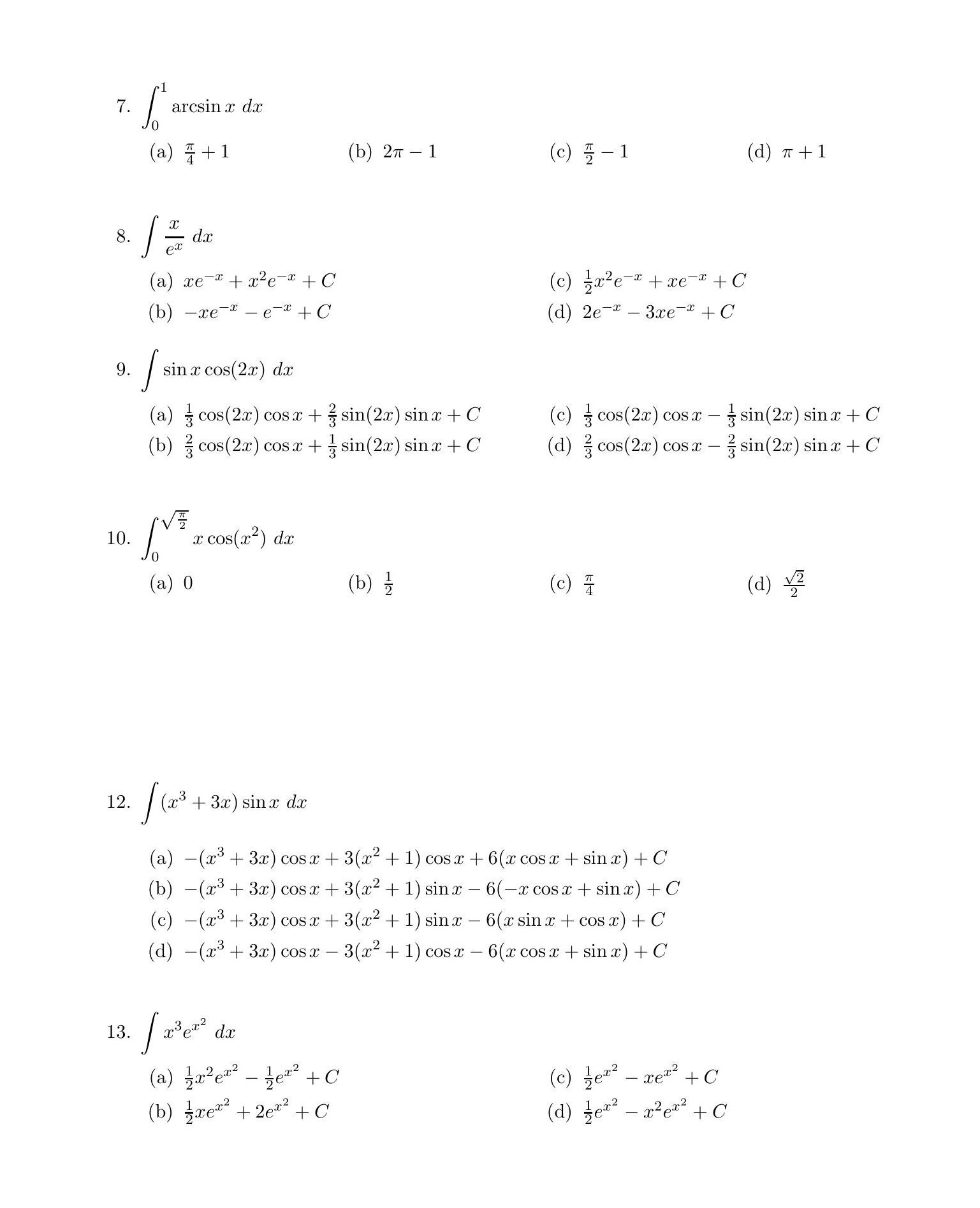
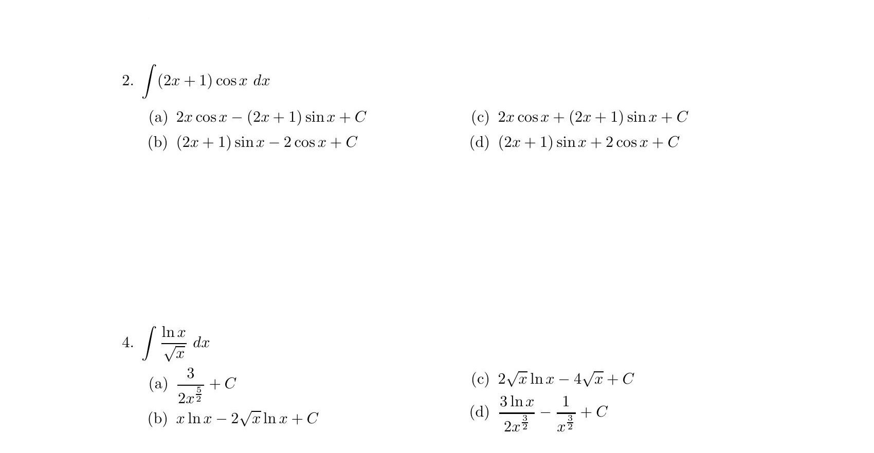
2. (a) 2x - sin x +C (c) 2x + C (b) (2x+1)sin-2cC - (d) (2x +1)...
2. (a) 2x - sin x +C (c) 2x + C (b) (2x+1)sin-2cC - (d) (2x +1)...