Subjects
Online Tutoring
Homework Help
Homework Library
Tutors
Online Classes
More
Bookstore
Blog
Technical Tips
FAQ
Contact Us
Get Help Now
Home
Homework Library
Mathematics
Calculus
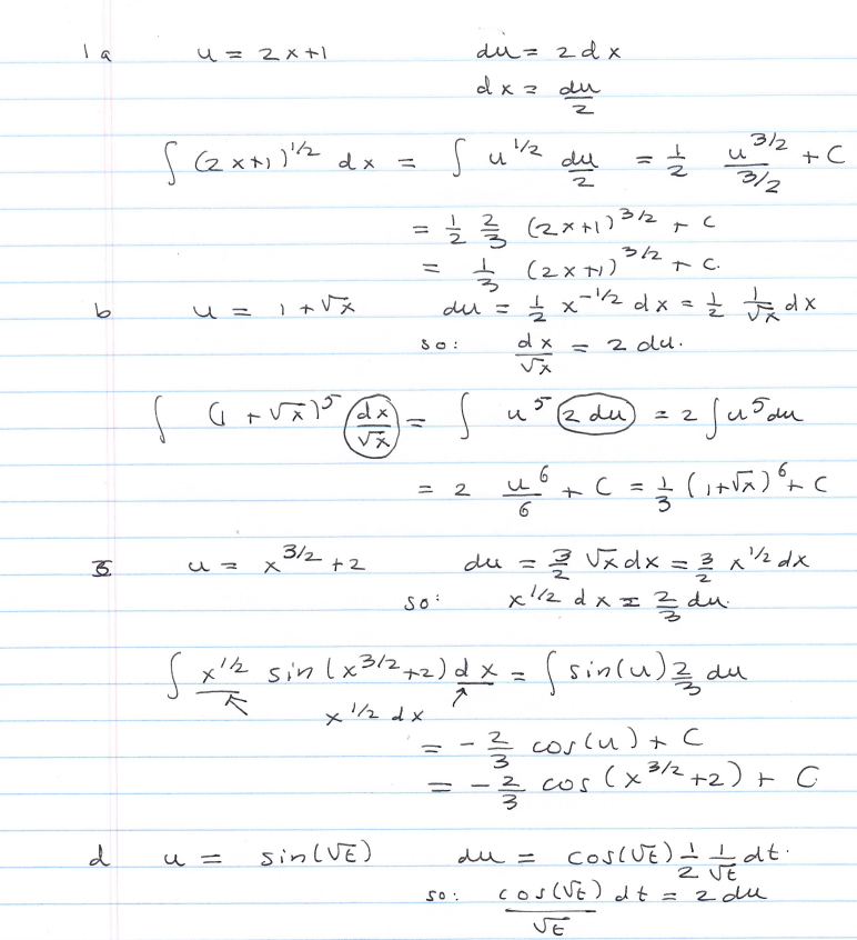
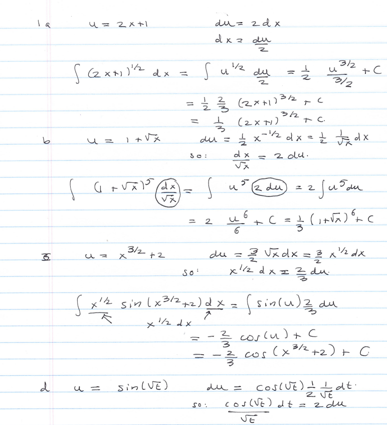
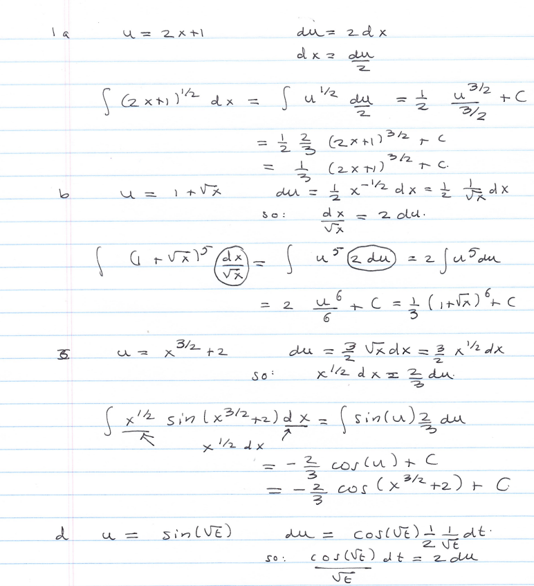
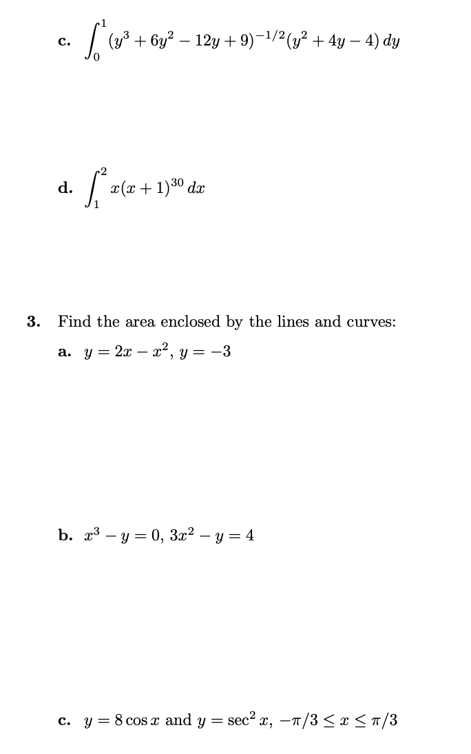
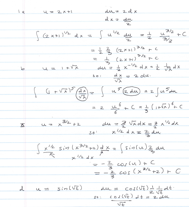
1. Evaluate the integrals: a. Z (2x + 1)13 dx b. Z (1 + √ ...
1. Evaluate the integrals: a. Z (2x + 1)13 dx b. Z (1 + √ x)...