Subjects
Online Tutoring
Homework Help
Homework Library
Tutors
Online Classes
More
Bookstore
Blog
Technical Tips
FAQ
Contact Us
Get Help Now
Home
Homework Library
Mathematics
Calculus
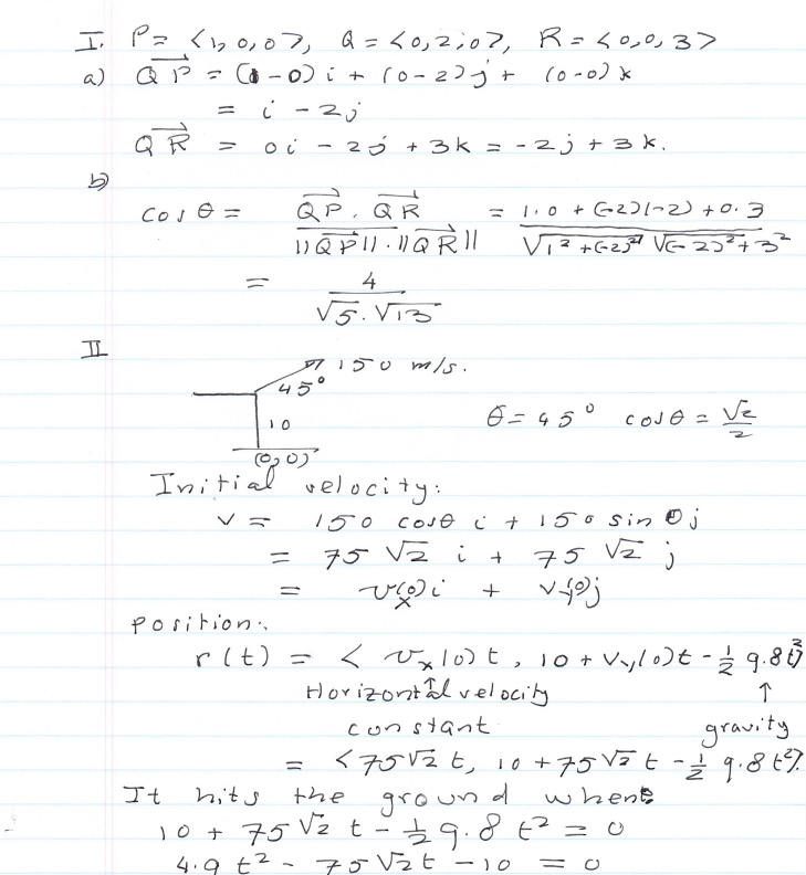
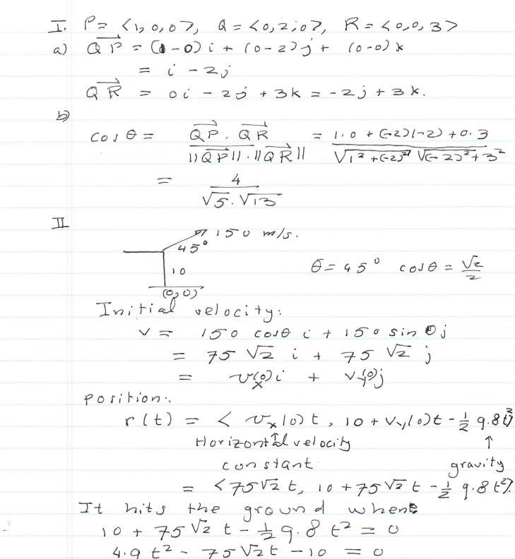
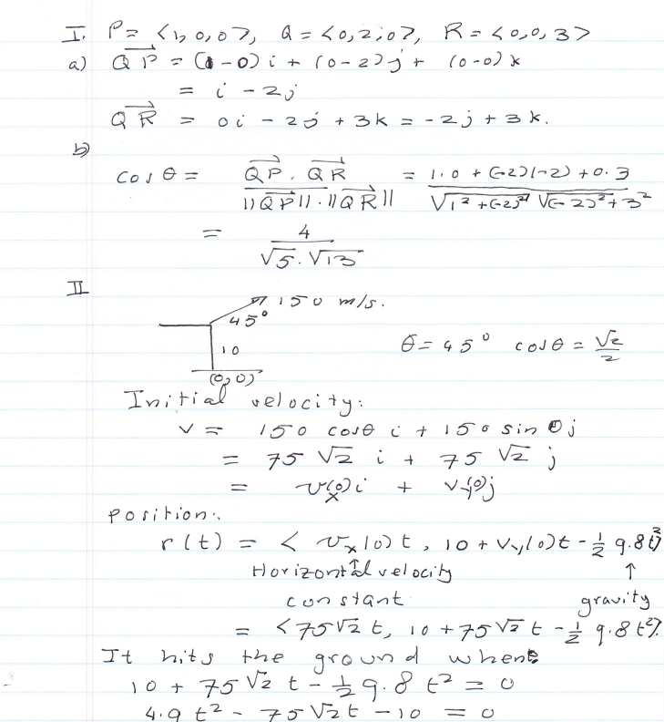
Problem I Let P, Q and R be the points at 1 on the x-axis, 2 on th...
Problem I Let P, Q and R be the points at 1 on the x-axis, 2 on th...