Subjects
Online Tutoring
Homework Help
Homework Library
Tutors
Online Classes
More
Bookstore
Blog
Technical Tips
FAQ
Contact Us
Get Help Now
Home
Homework Library
Mathematics
Calculus
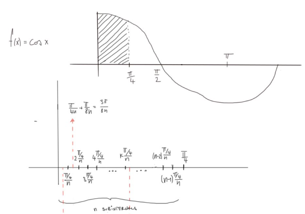
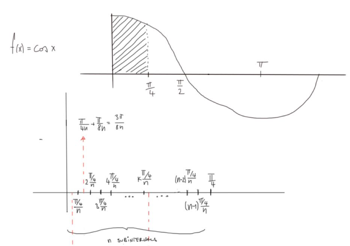
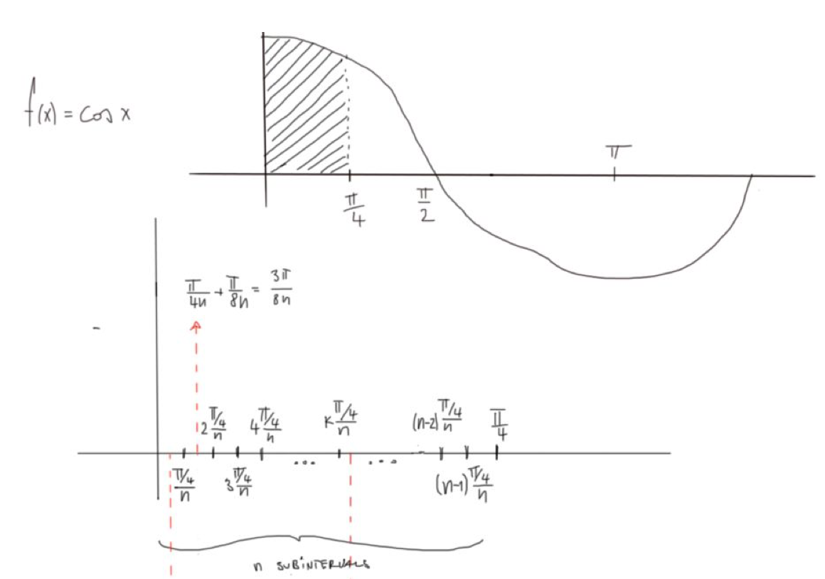
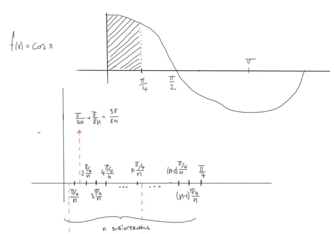
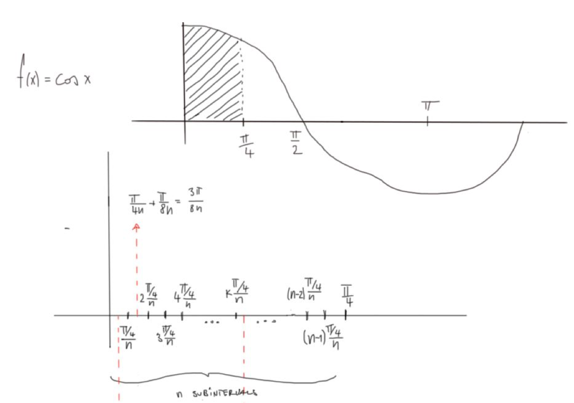
Re: First Year Uni Calculus Marathon Evaluate f(x)=cos x from X be...
Re: First Year Uni Calculus Marathon Evaluate f(x)=cos x from X be...