Subjects
Online Tutoring
Homework Help
Homework Library
Tutors
Online Classes
More
Bookstore
Blog
Technical Tips
FAQ
Contact Us
Get Help Now
Home
Homework Library
Mathematics
Calculus
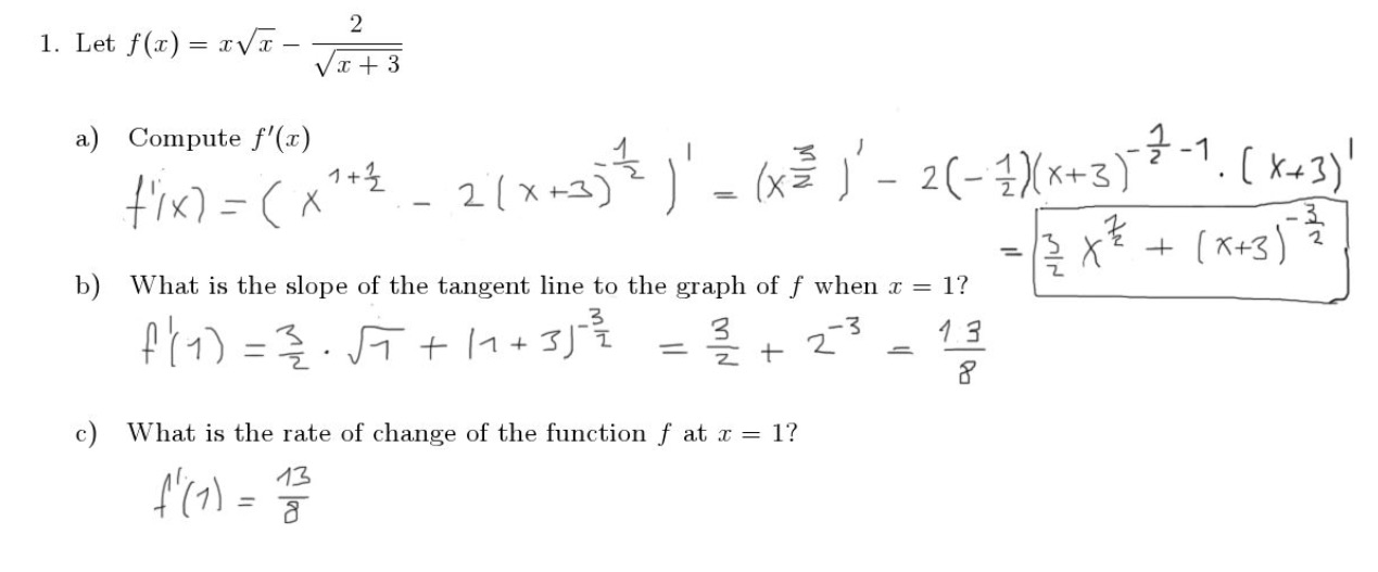
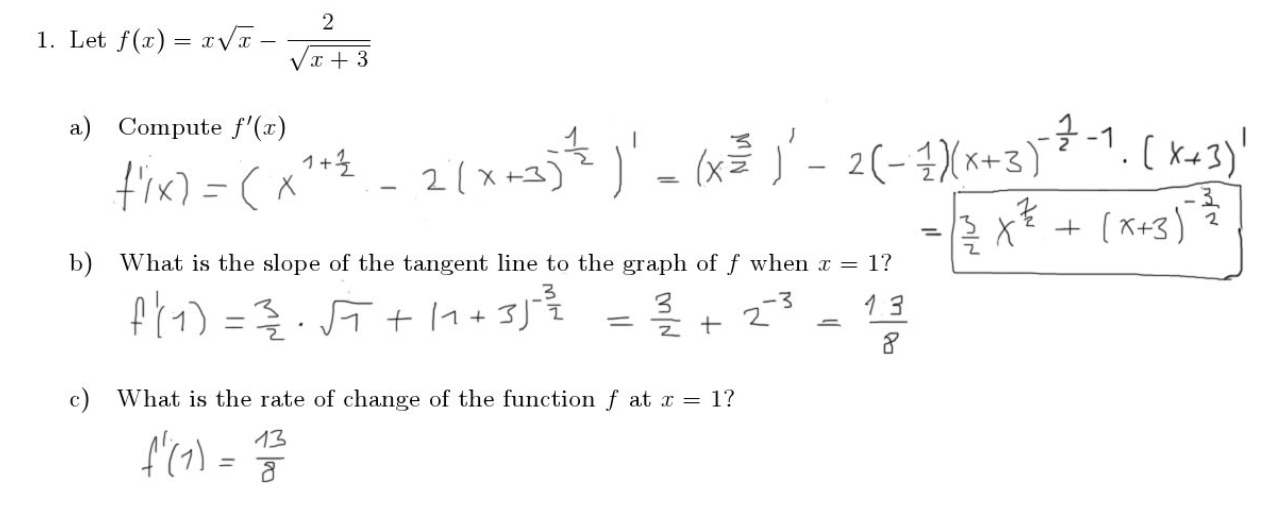
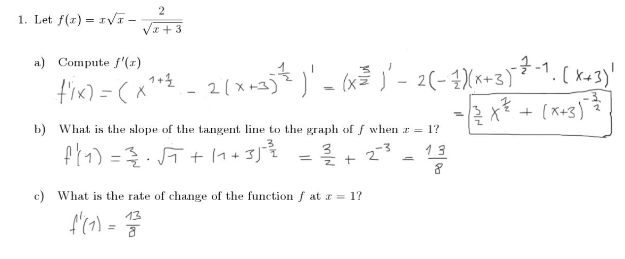
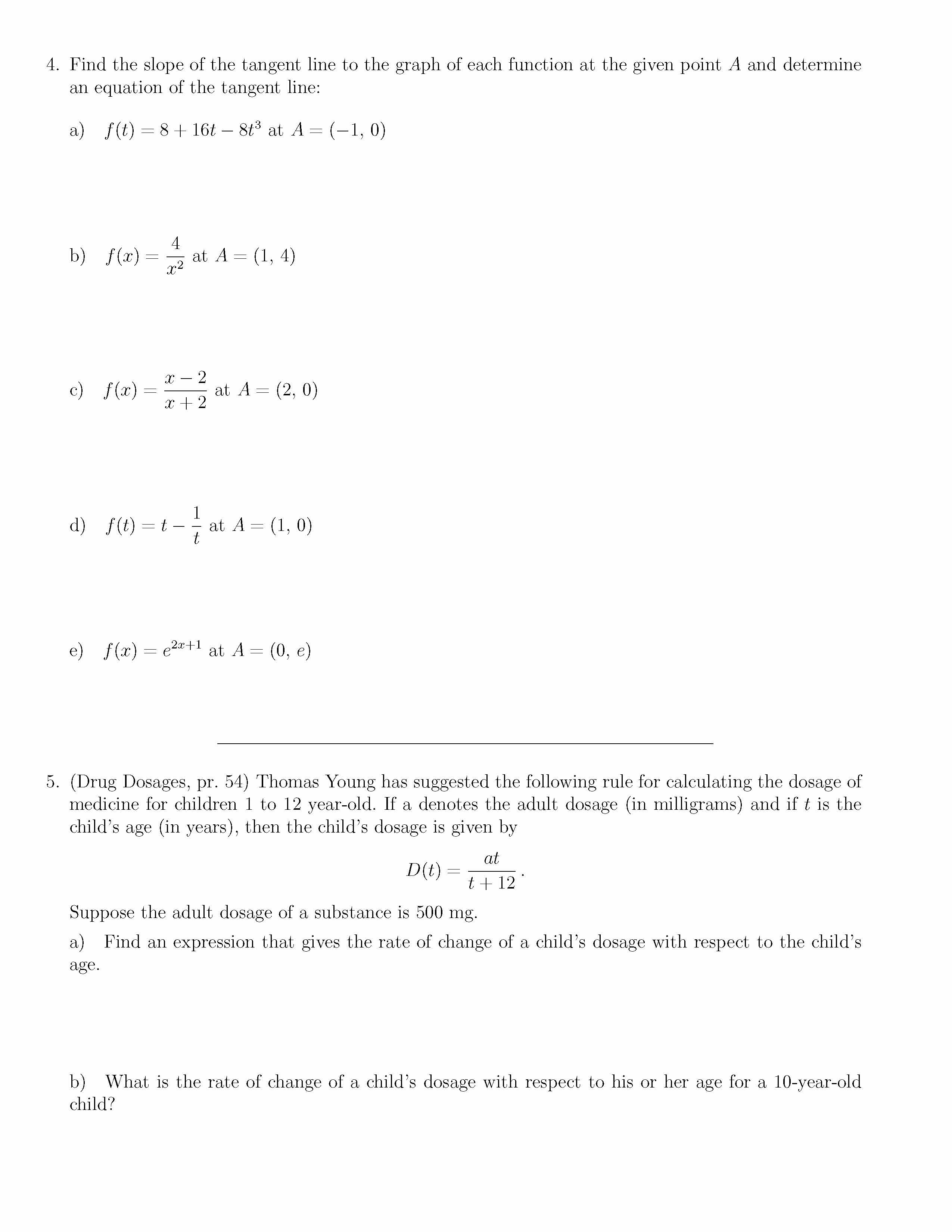
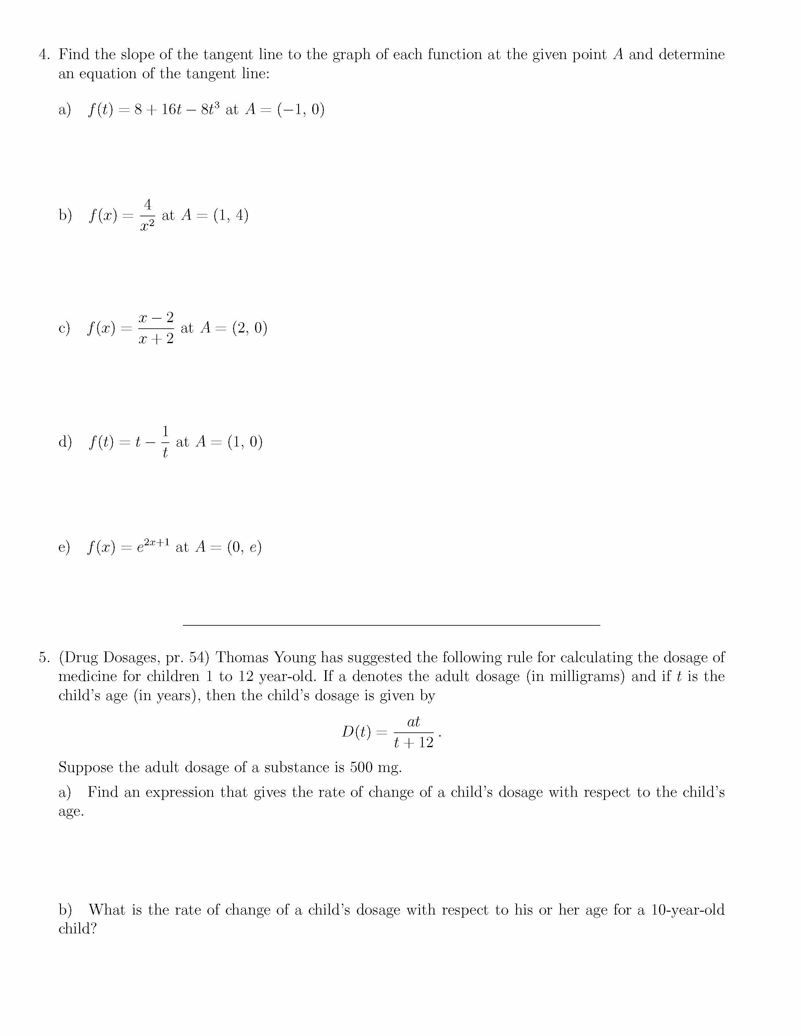
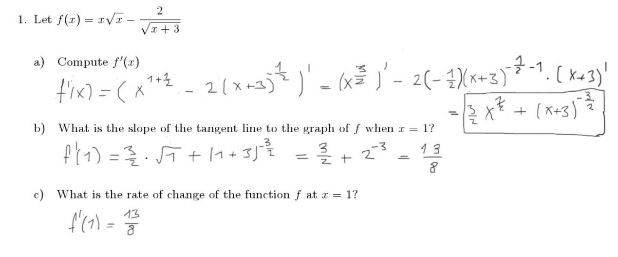
1. Letf(x)=x√x−√ 2 x+3 a) b) c) Compute fâ€...
1. Letf(x)=x√x−√ 2 x+3 a) b) c) Compute f′(x) What is...