Subjects
Online Tutoring
Homework Help
Homework Library
Tutors
Online Classes
More
Bookstore
Blog
Technical Tips
FAQ
Contact Us
Get Help Now
Home
Homework Library
Mathematics
Calculus
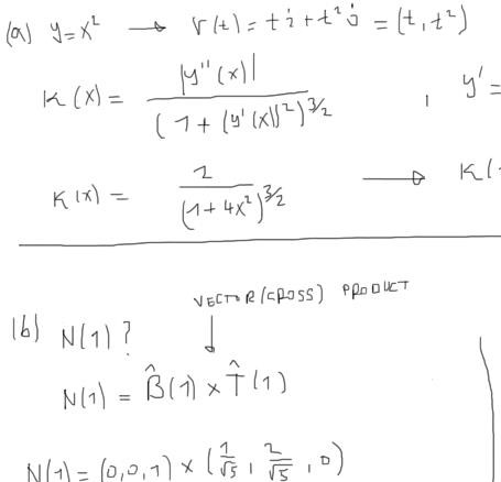
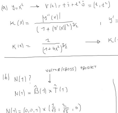
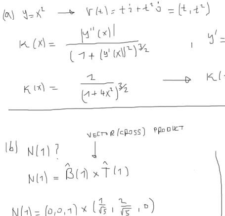
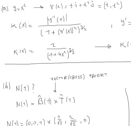
1 Let the parabola V = X2 be parameterized by r(t) = y 10 ti + ...
1 Let the parabola V = X2 be parameterized by r(t) = y 10 ti +...