Subjects
Online Tutoring
Homework Help
Homework Library
Tutors
Online Classes
More
Bookstore
Blog
Technical Tips
FAQ
Contact Us
Get Help Now
Home
Homework Library
Mathematics
Calculus
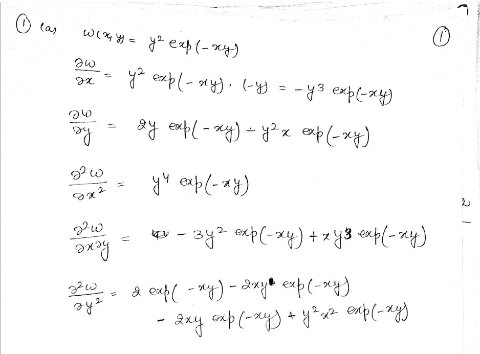
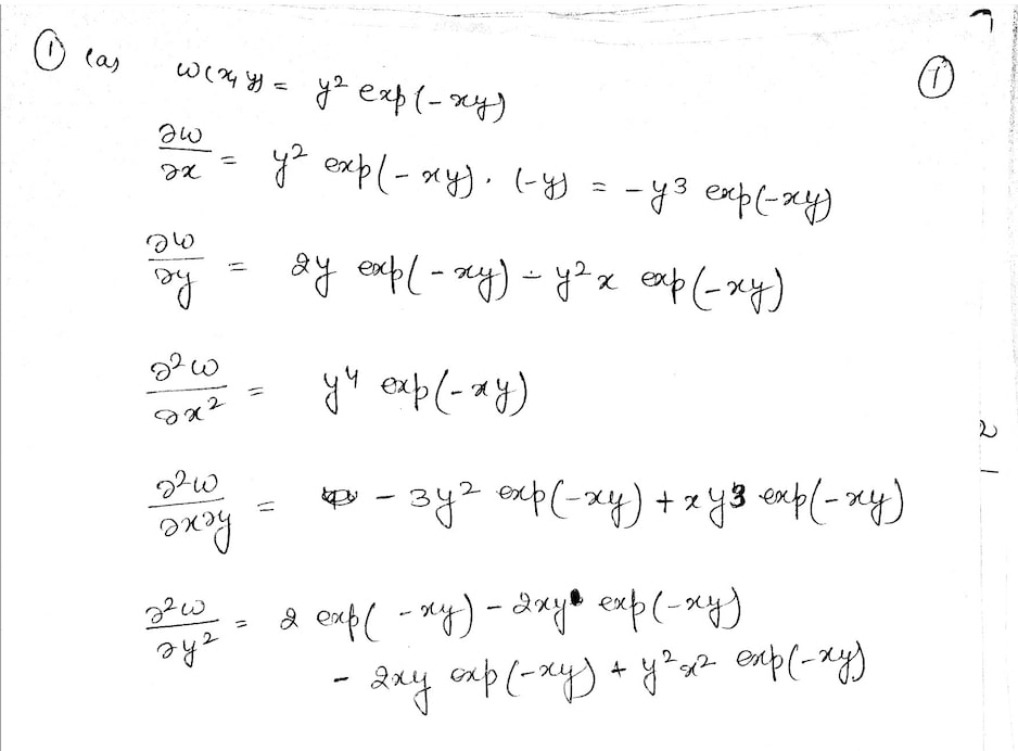
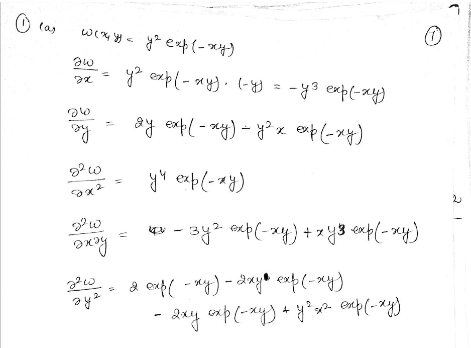
1. [15 marks] Consider the function w(x,y) = y2 exp(-xy). (a) Dete...
1. [15 marks] Consider the function w(x,y) = y2 exp(-xy). (a) Dete...