Subjects
Online Tutoring
Homework Help
Homework Library
Tutors
Online Classes
More
Bookstore
Blog
Technical Tips
FAQ
Contact Us
Get Help Now
Home
Homework Library
Mathematics
Calculus
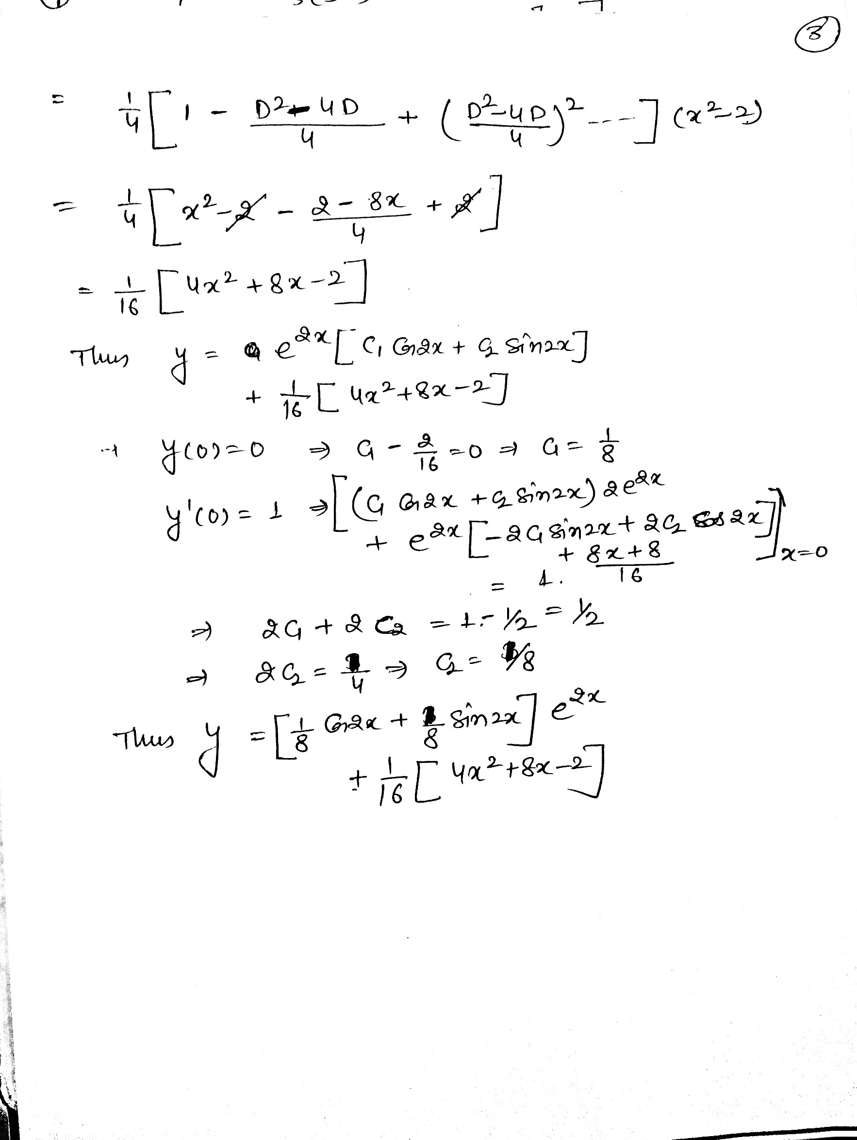
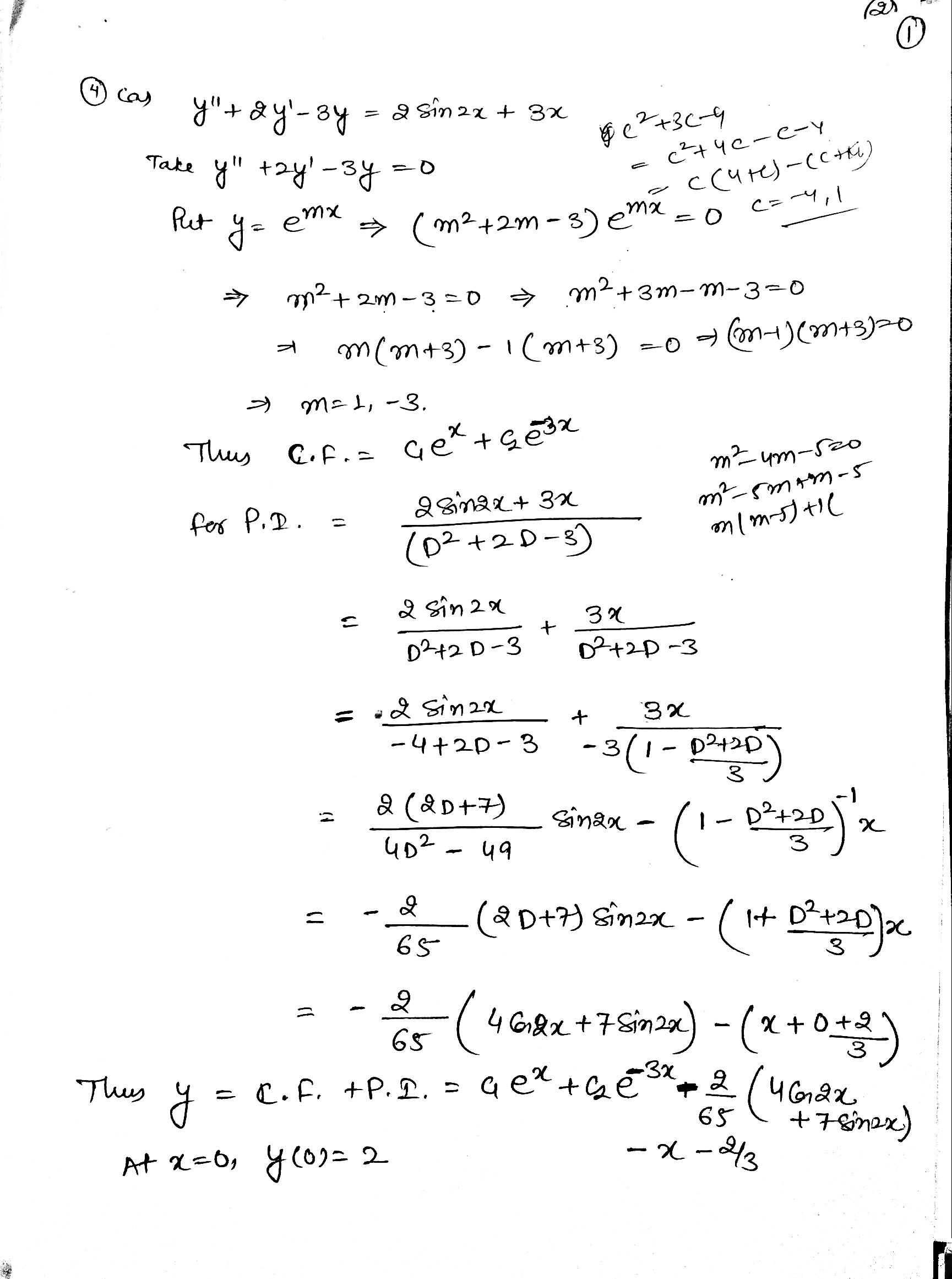
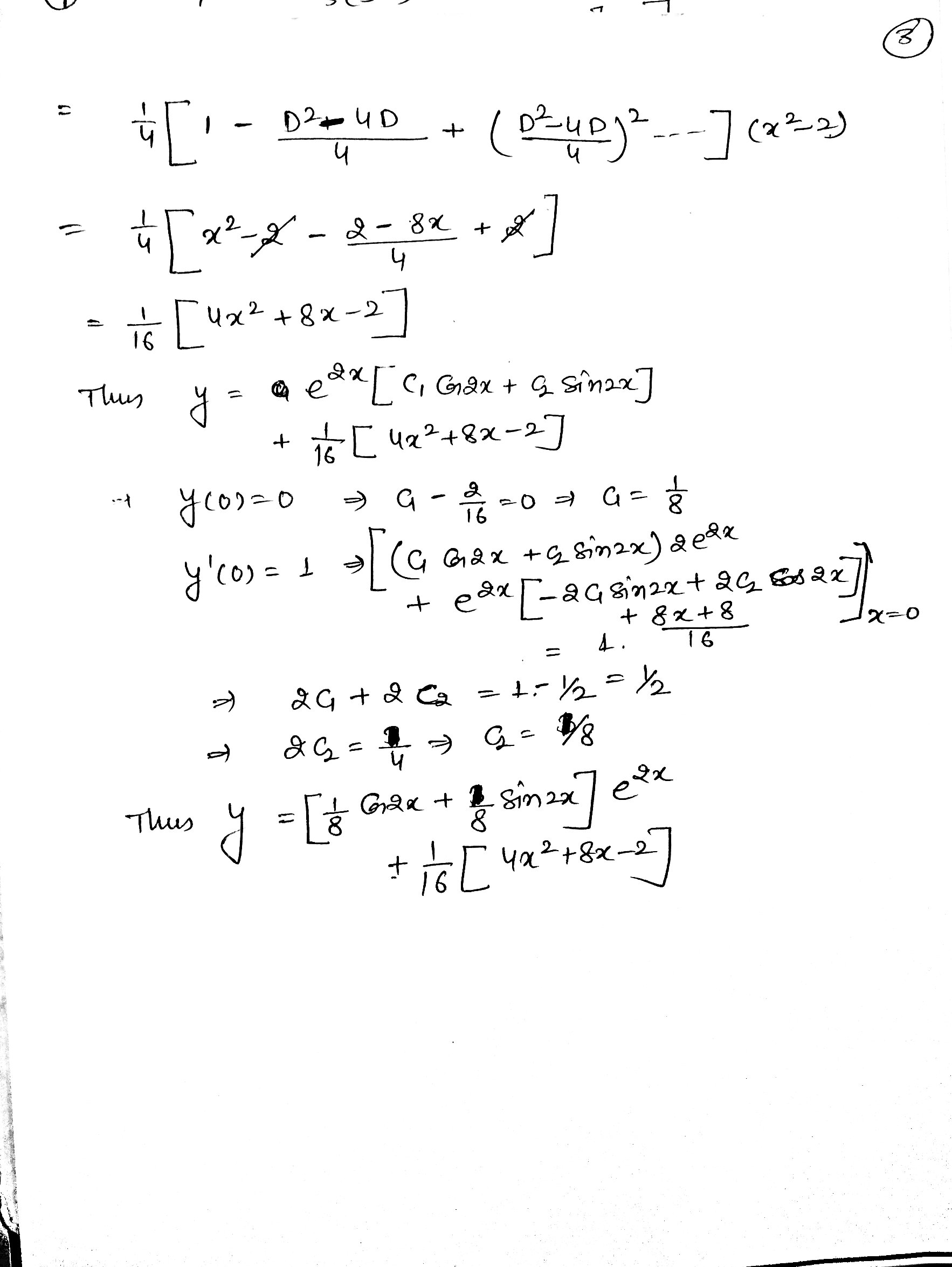
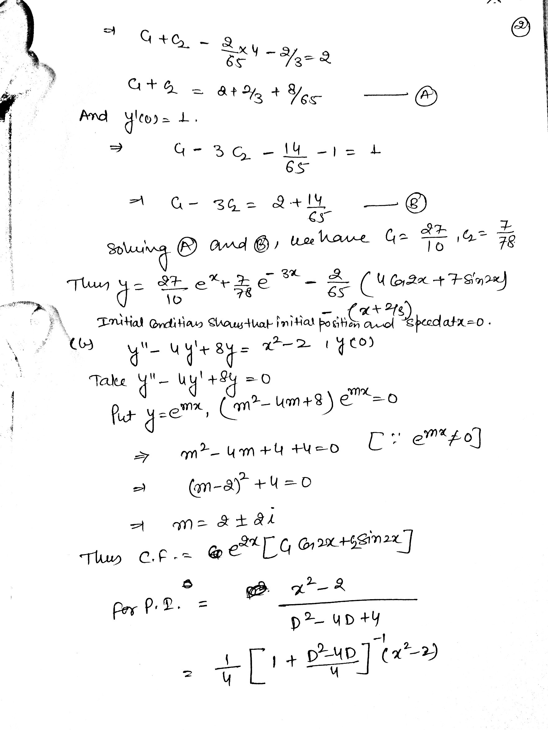
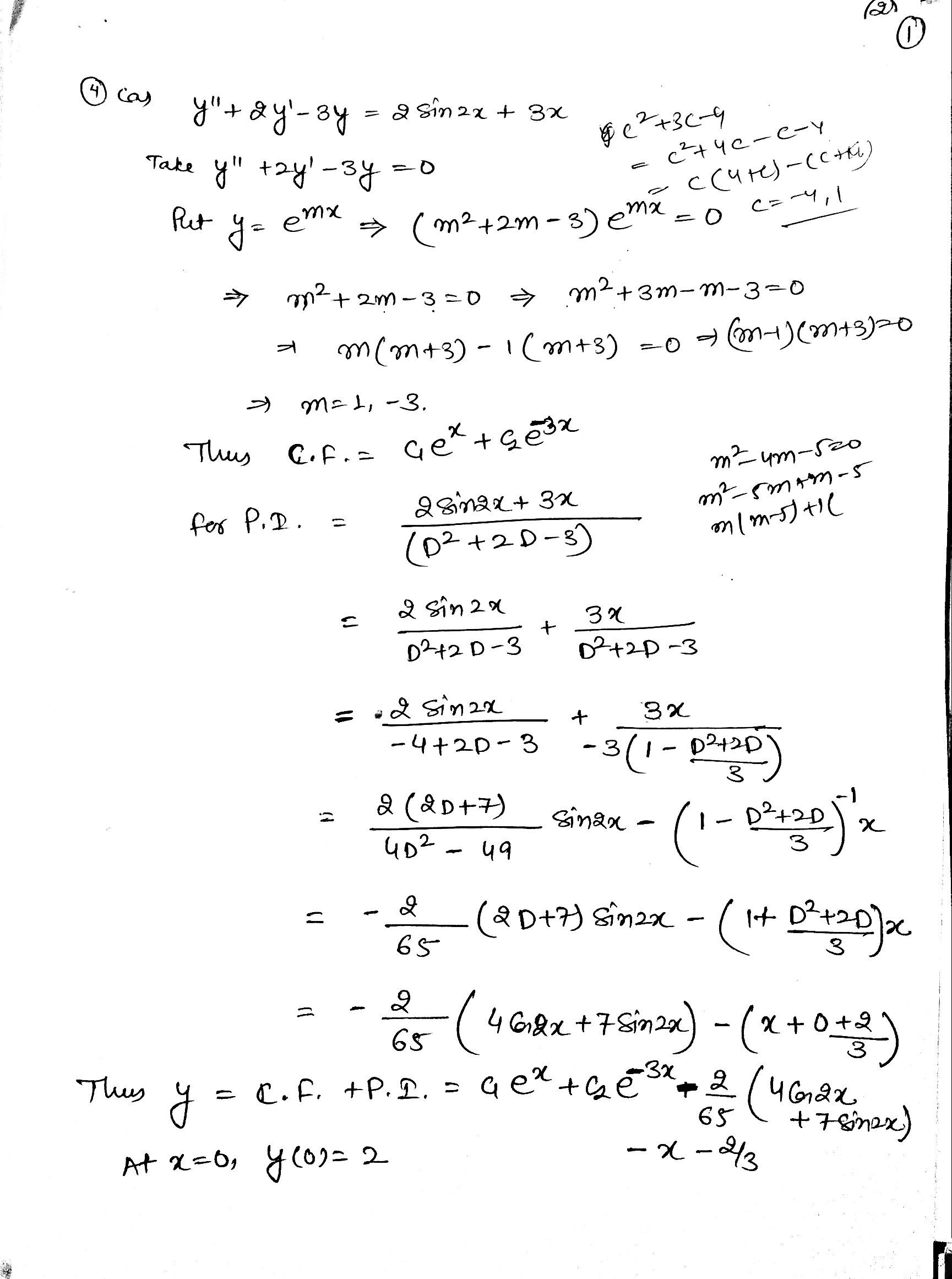
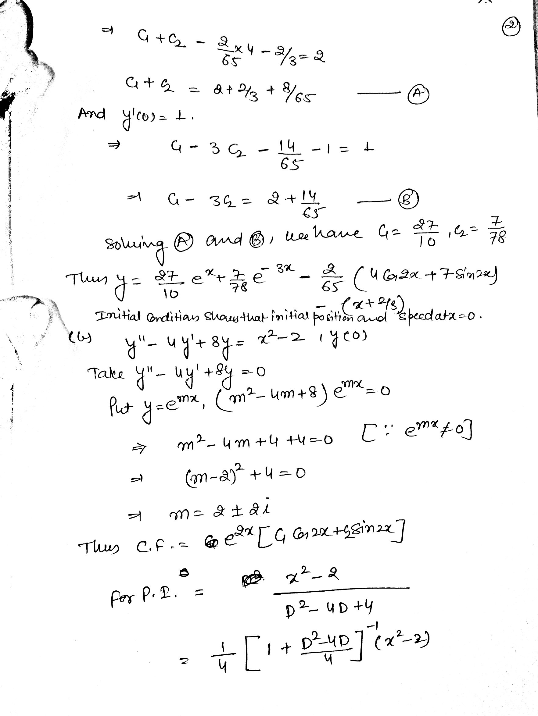
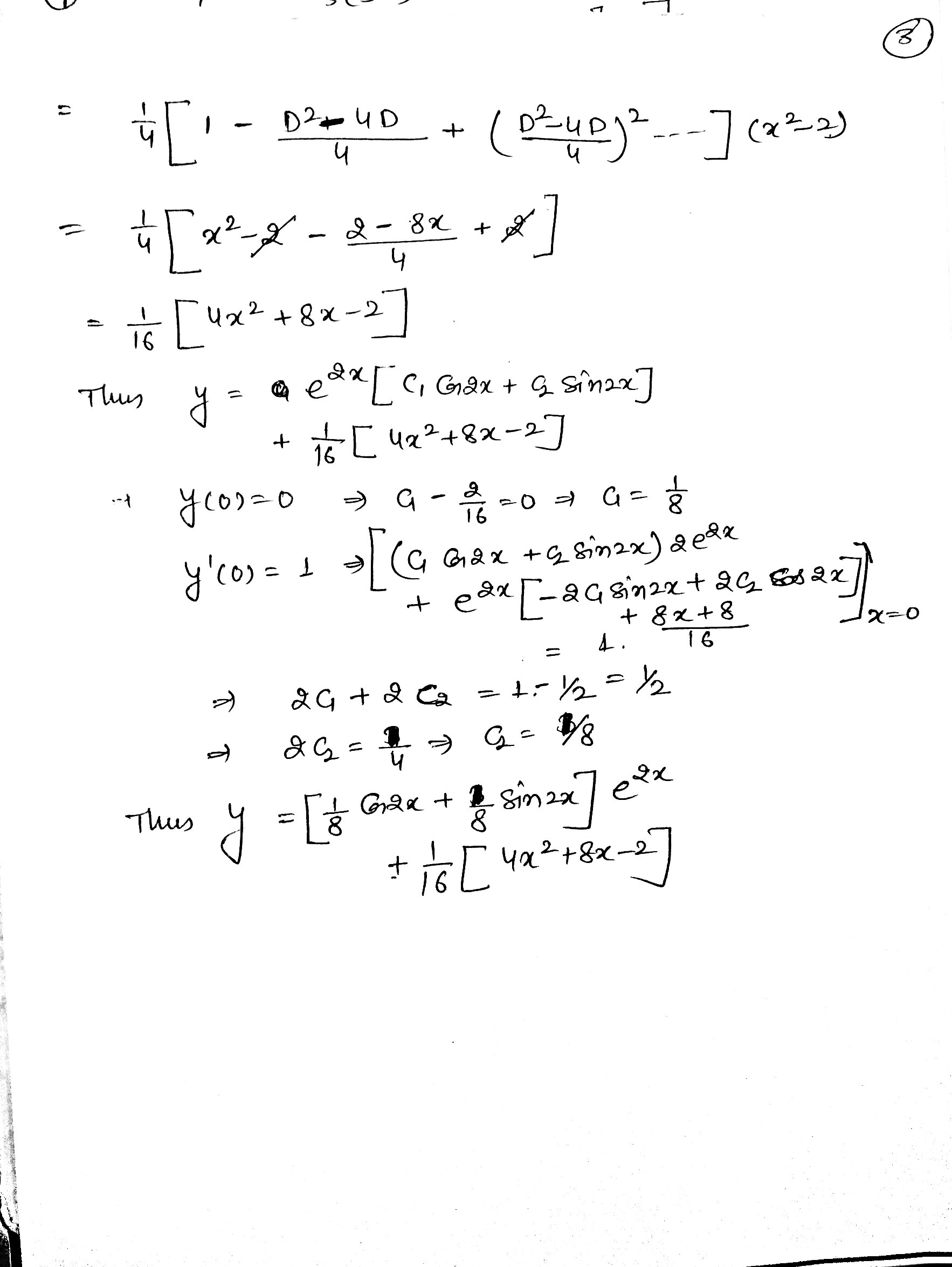
[9 marks] Find the inverse Laplace Transforms of; 2s+1 (a) Y(s) =...
[9 marks] Find the inverse Laplace Transforms of; 2s+1 (a) Y(s) =...