Subjects
Online Tutoring
Homework Help
Homework Library
Tutors
More
Bookstore
Blog
Technical Tips
FAQ
Contact Us
Get Help Now
Home
Homework Library
Mathematics
Calculus
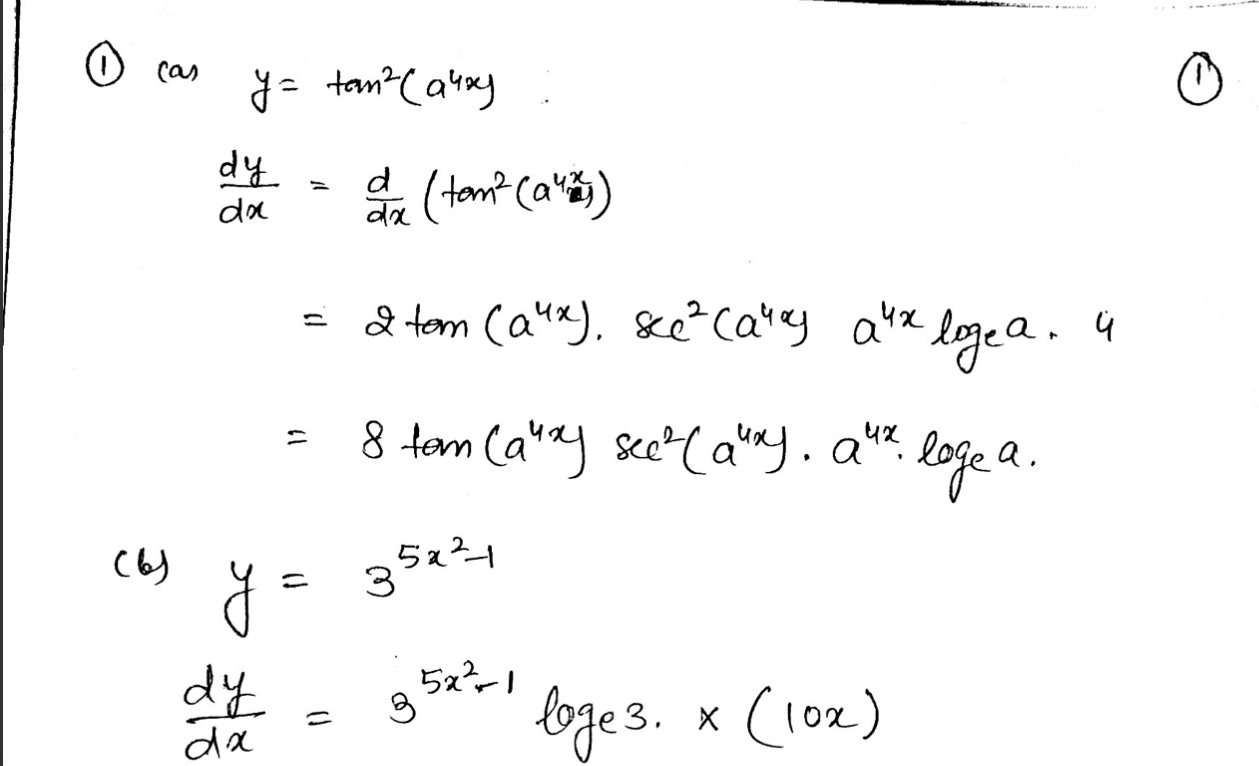
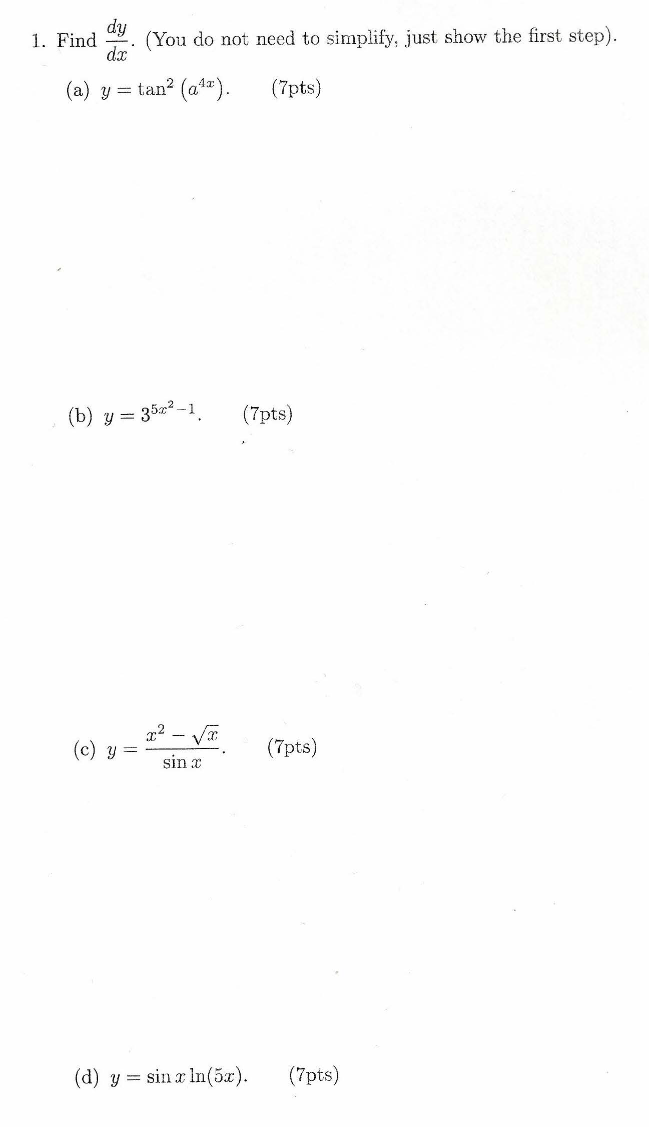
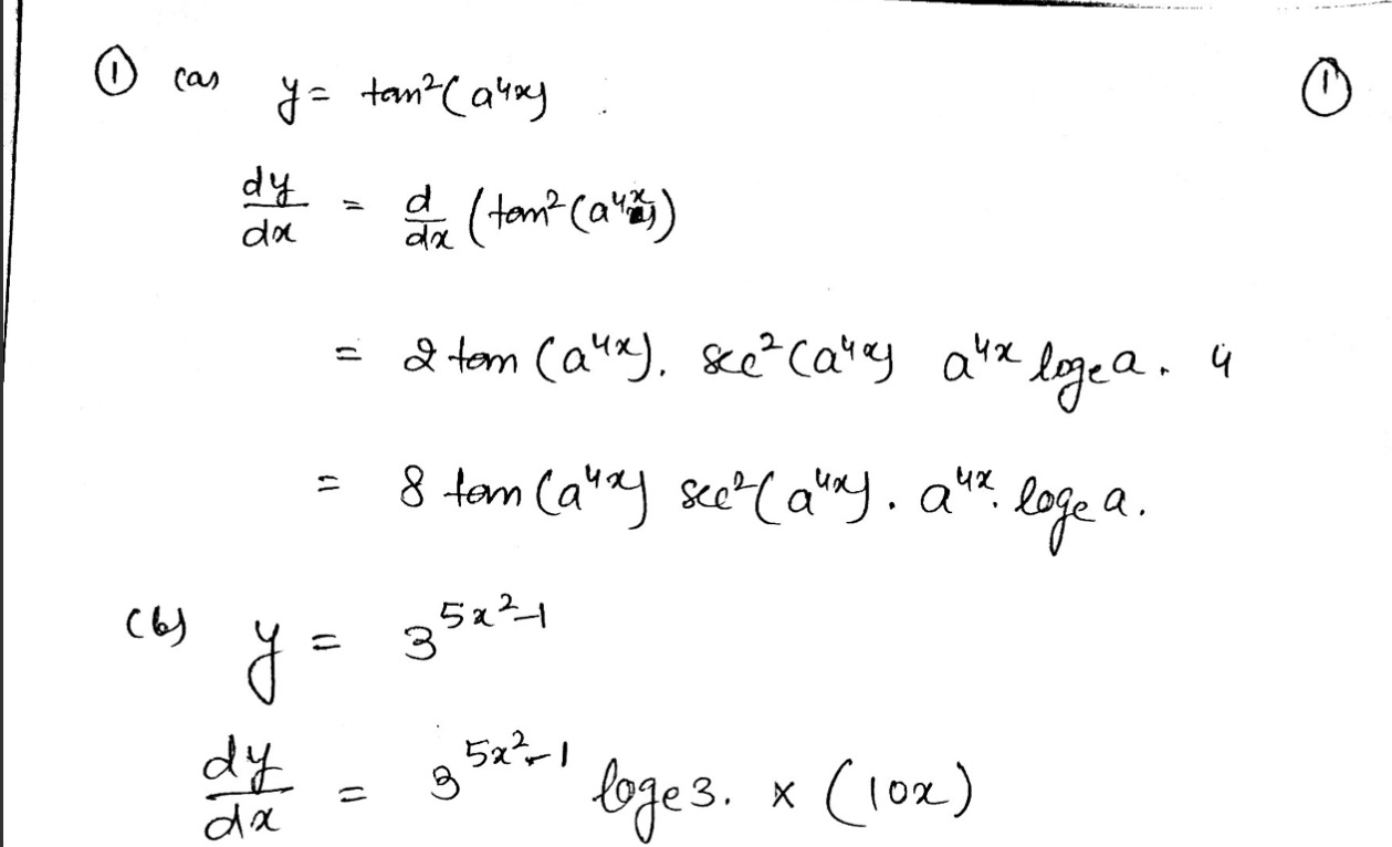
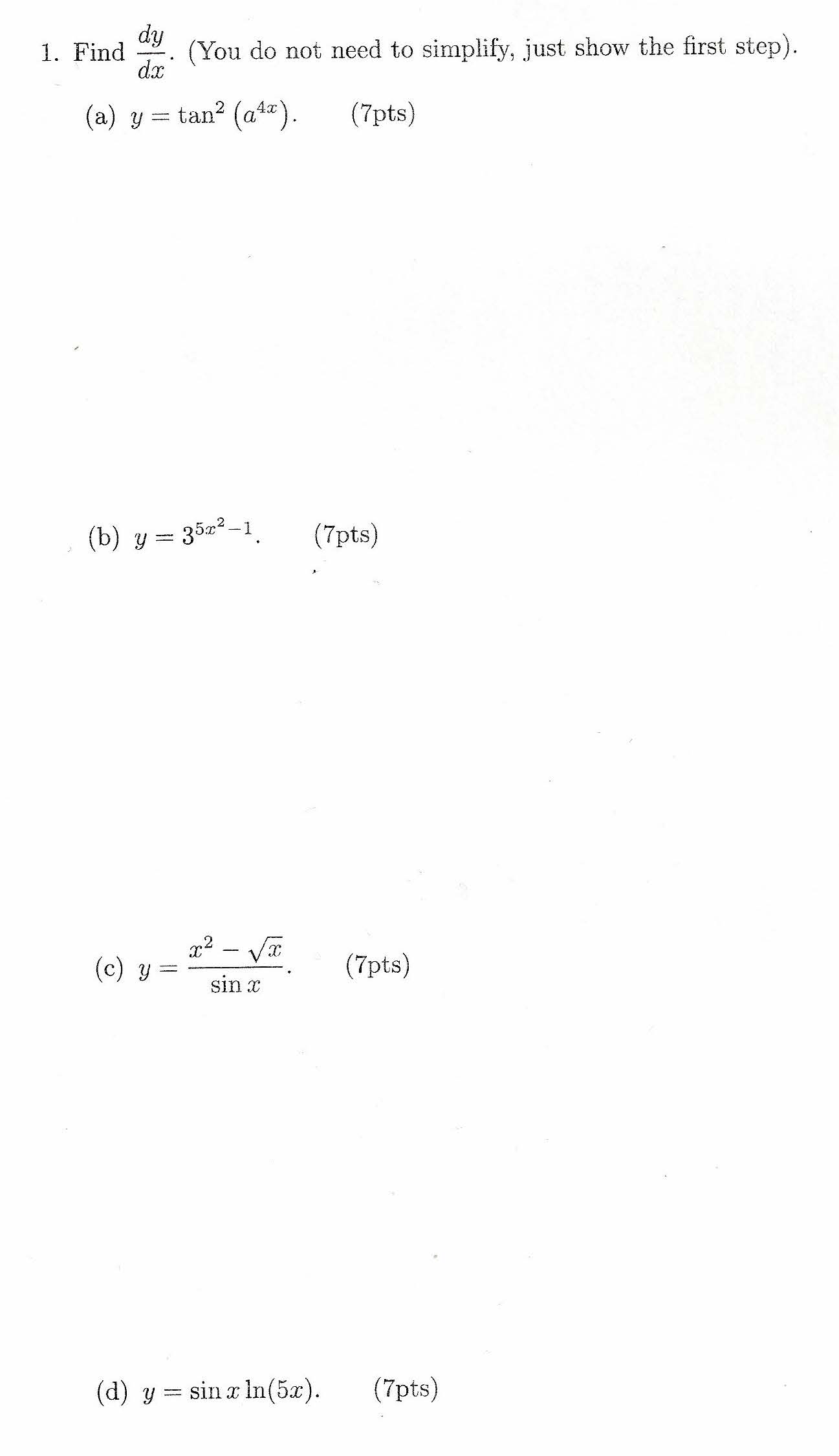
1. Find dy dx (You do not need to simplify, just show the first...
1. Find dy dx (You do not need to simplify, just show the first...