Subjects
Online Tutoring
Homework Help
Homework Library
Tutors
Online Classes
More
Bookstore
Blog
Technical Tips
FAQ
Contact Us
Get Help Now
Home
Homework Library
Mathematics
Calculus
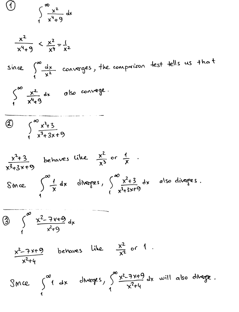
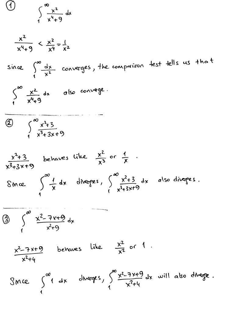
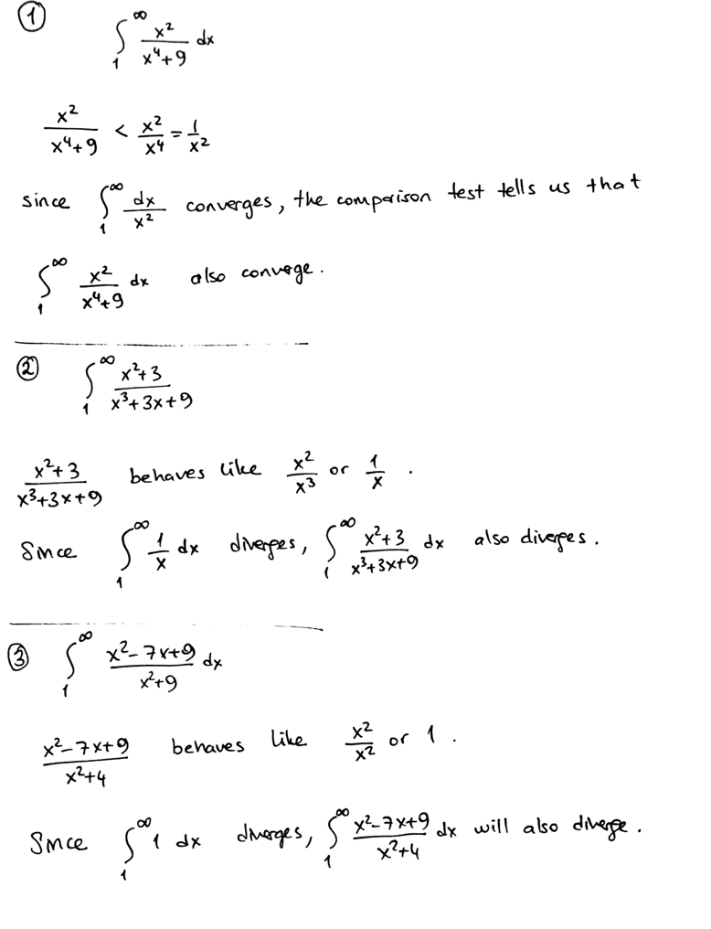
Consider the following. 1.1/1 converges p > diverges ps1. dx f...
Consider the following. 1.1/1 converges p > diverges ps1. dx f...