Subjects
Online Tutoring
Homework Help
Homework Library
Tutors
Online Classes
More
Bookstore
Blog
Technical Tips
FAQ
Contact Us
Get Help Now
Home
Homework Library
Mathematics
Calculus
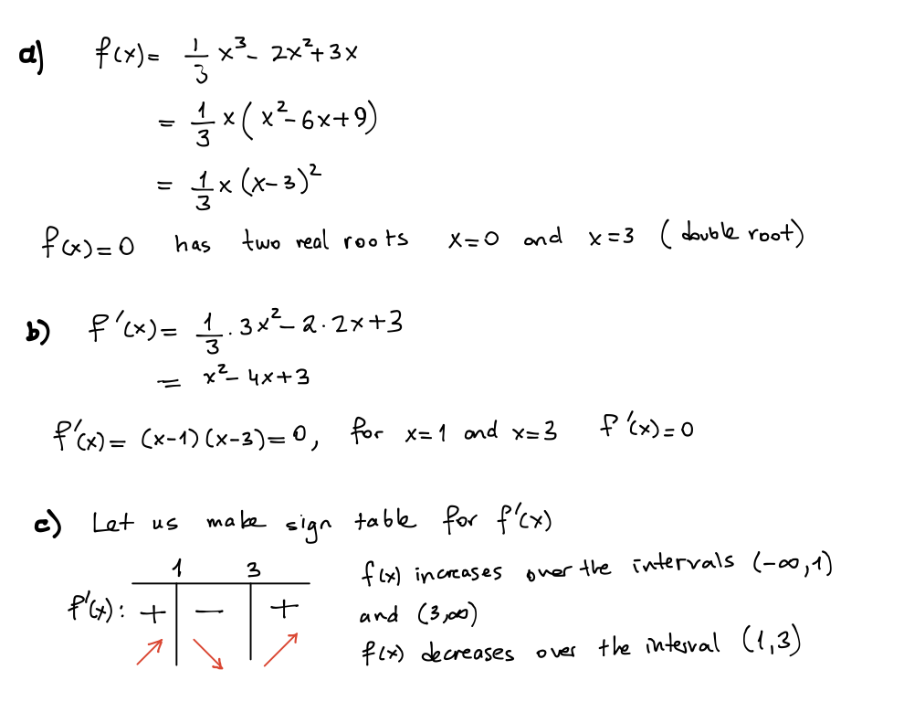
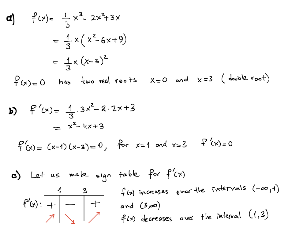
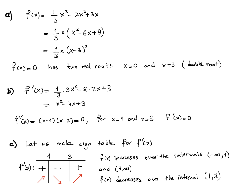
Consider the function f(x)= = + 3x. (a) Show that f(x) = 0 has onl...
Consider the function f(x)= = + 3x. (a) Show that f(x) = 0 has onl...