Subjects
Online Tutoring
Homework Help
Homework Library
Tutors
Online Classes
More
Bookstore
Blog
Technical Tips
FAQ
Contact Us
Get Help Now
Home
Homework Library
Mathematics
Calculus
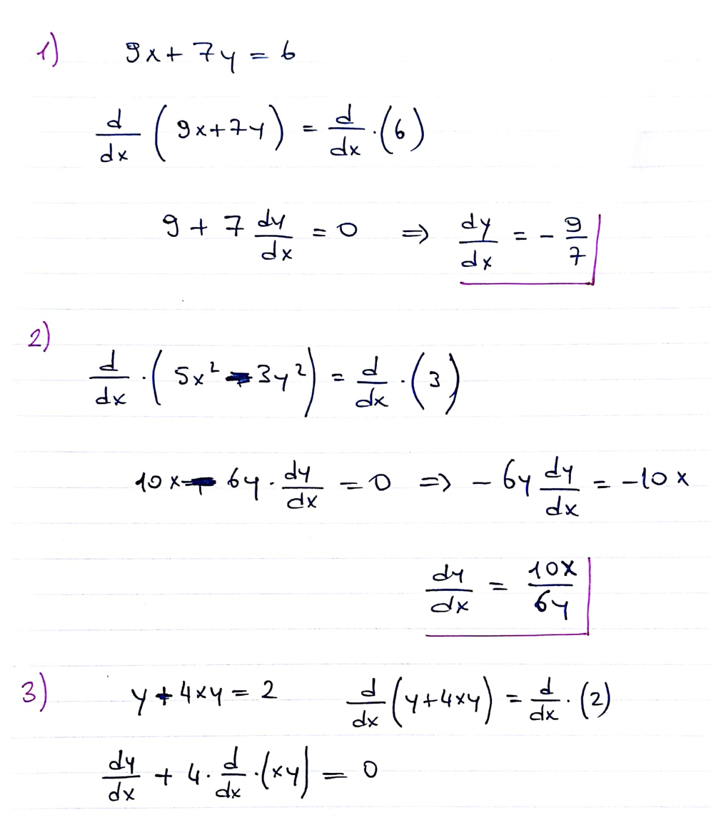
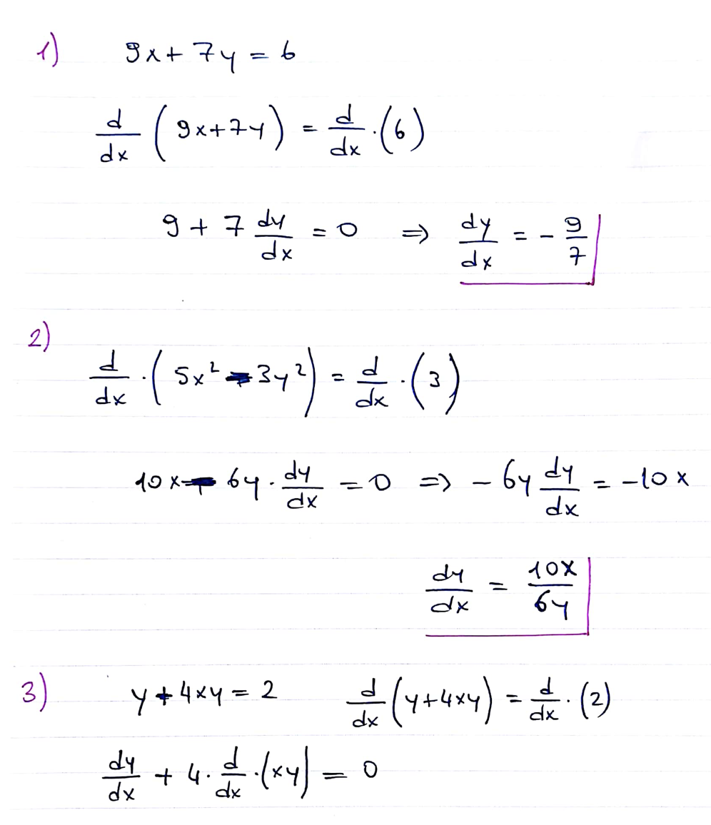
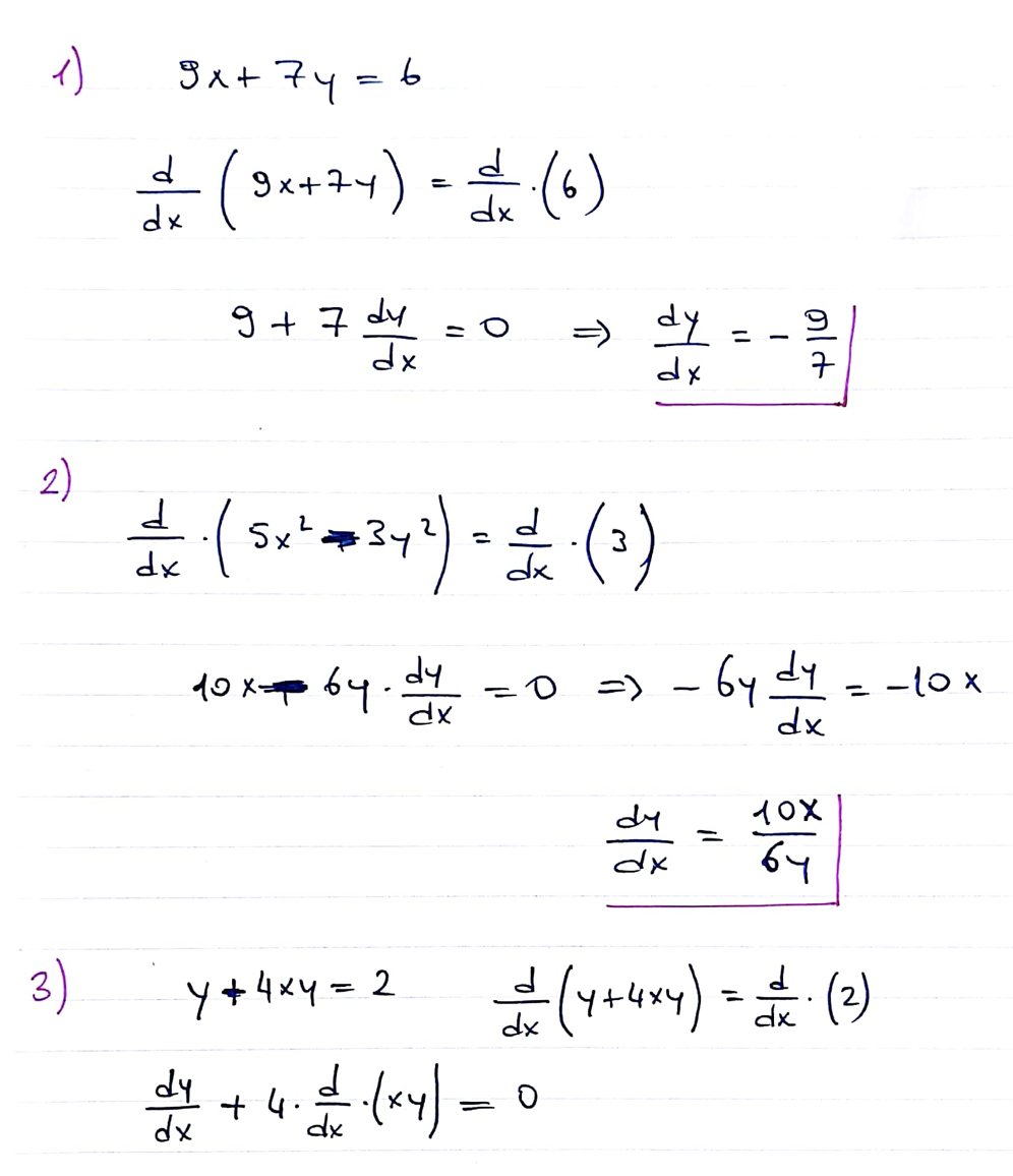
1. Find dy/dx by differentiating implicitly. When applicable, expre...
1. Find dy/dx by differentiating implicitly. When applicable, expre...